Главная >> Физика 11 класс. Мякишев

Глава 8. Световые волны

Примеры решения задач. Упражнение 9

Примеры решения задач

1. На рисунке 8.39 показано расположение главной оптической оси MN линзы, светящейся точки S и ее изображения S1. Найдите построением оптический центр линзы и ее фокусы. Определите, собирающей или рассеивающей является эта линза, действительным или мнимым является изображение.

Р е ш е н и е. Луч, проходящий через оптический центр линзы, не отклоняется от своего направления. Поэтому оптический центр О совпадает с точкой пересечения прямых SS1 и MN (рис. 8.40). Проведем луч SK, параллельный главной оптической оси. Преломленный луч KS1 пройдет через фокус. Зная, что луч, падающий на линзу через фокус, после преломления идет параллельно главной оптической оси, находим другой фокус. Линза является собирающей, а изображение — действительным.

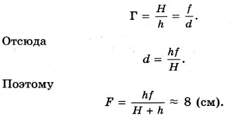
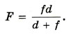
2. Изображение предмета имеет высоту Н = 2 см. Какое фокусное расстояние F должна иметь линза, расположенная на расстоянии ƒ = 4 м от экрана, чтобы изображение данного предмета на экране имело высоту h = 1м?

Р е ш е н и е . Из формулы линзы

формулы линзы

находим фокусное расстояние:

фокусное расстояние:

Увеличение линзы можно выразить так:

Увеличение линзы

Упражнение 9

1. С помощью линзы на вертикальном экране получено действительное изображение электрической лампочки. Как изменится изображение, если закрыть верхнюю половину линзы?

2. Фотоаппарат дает на пленке изображение человеческого лица. Поясните с помощью чертежа, почему изображение леса, виднеющегося вдали за человеком, получается нерезким. В какую сторону следует сместить объектив, чтобы лес был изображен четко? Будет ли при этом четким изображение лица?

3. Почему ныряльщик без маски плохо различает предметы под водой?

4. Постройте изображение предмета, помещенного перед собирающей линзой, в следующих случаях: 1) d > 2F; 2) d = 2F; 3) F < d < 2F; 4) d < F.

5. На рисунке 8.41 линия ABC изображает ход луча через тонкую рассеивающую линзу. Определите построением положения главных фокусов линзы.

ход луча через тонкую рассеивающую линзу

6. Постройте изображение светящейся точки в рассеивающей линзе, используя три «удобных» луча.

7. Светящаяся точка находится в фокусе рассеивающей линзы. На каком расстоянии от линзы находится изображение? Постройте ход лучей.

 

 

???????@Mail.ru