Главная >> Физика 11 класс. Мякишев

Глава 8. Световые волны

§ 74. Поперечность световых волн и электромагнитная теория света

Электромагнитная теория света берет начало от работ Максвелла.

В основе электромагнитной теории света лежит факт совпадения скорости света со скоростью распространения электромагнитных волн.

Из теории Максвелла следовало, что электромагнитные волны являются поперечными. К тому времени поперечность световых волн уже была доказана экспериментально. Поэтому Максвелл обоснованно считал поперечность электромагнитных волн еще одним важным доказательством справедливости электромагнитной теории света.

После того как Герц экспериментально получил электромагнитные волны и измерил их скорость, электромагнитная теория света была впервые экспериментально подтверждена. Было доказано, что электромагнитные волны при распространении проявляют те же свойства, что и световые: отражение, преломление, интерференцию, поляризацию и др. (см. § 54). В конце XIX в. было окончательно установлено, что световые волны возбуждаются движущимися в атомах заряженными частицами.

С признанием электромагнитной теории света постепенно исчезли все затруднения, связанные с необходимостью введения гипотетической среды — эфира, который приходилось рассматривать как твердое тело. Световые волны — это не механические волны в особой всепроникающей среде — эфире, а электромагнитные волны. Электромагнитные процессы подчиняются не законам механики, а законам электромагнетизма. Эти законы и были установлены в окончательной форме Максвеллом.

В электромагнитной волне векторы и перпендикулярны друг другу. В естественном свете колебания напряженности электрического поля и магнитной индукции происходят по всем направлениям, перпендикулярным на правлению распространения волны. Если свет поляризован, то колебания векторов и происходят не по всем направлениям, а в двух определенных плоскостях. Электромагнитная волна, изображенная на рисунке 7.1, является поляризованной.

Возникает естественный вопрос: если речь идет о направлении колебаний в световой волне, то, собственно говоря, колебания какого вектора — или — имеются в виду? Специально поставленные опыты доказали, что на сетчатку глаза или фотоэмульсию действует электрическое поле световой волны. В связи с этим за направление колебаний в световой волне принято направление вектора напряженности электрического поля.


Открытие электромагнитной теории света — одно из немногих открытий, сделанных на кончике пера, т. е. теоретически.

Всеобщее признание электромагнитная теория получила, однако, лишь после своего экспериментального подтверждения.


Примеры решения задач

1. В опыте Юнга по дифракции световых волн расстояние между щелями d = 0,07 мм, а расстояние от двойной щели до экрана D = 2m. При освещении прибора зеленым светом расстояние между соседними светлыми дифракционными полосами оказалось равным Δh = 16 мм. Определите длину волны.

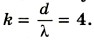
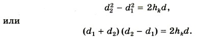
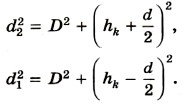
Р е ш е н и е. В некоторой точке С экрана (рис. 8.65) будет наблюдаться максимум освещенности, если выполнено условие

d2 — d1 = kλ,

где k = 0, 1, 2, ... — целые числа.

Определите длину волны

Применим теорему Пифагора к треугольникам S1CE и S2CB:

Вычитая почленно из первого равенства второе, получаем

Так как d « D, тo d1 + d2 ≈ 2D. Следовательно,

Учитывая, что d2 - d1 = kλ, можем записать:

Отсюда находим расстояние k-й светлой полосы от центра экрана:

Расстояние между соседними полосами равно:

2. На дифракционную решетку, имеющую 500 штрихов на 1 мм, падает плоская монохроматическая волна (λ = 5 • 10-5 см). Определите наибольший порядок спектра k, который можно наблюдать при нормальном падении лучей на решетку.

Р е ш е н и е. Максимальному k соответствует sin φ = 1 [см. формулу (8.17)]. Следовательно,

 

 

???????@Mail.ru