Главная >> Физика 7 класс. Генденштейн

§ 24. Простые механизмы

«Золотое правило» механики для гидравлического пресса

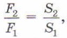
Как вы уже знаете (см. § 19. Давление жидкостей и газов. Закон Паскаля), при использовании гидравлического пресса мы также выигрываем в силе: сила F2, действующая со стороны поршня в широком сосуде, во столько раз больше приложенной силы F1, во сколько раз площадь широкого поршня S2, больше площади узкого поршня S1, то есть

При этом, однако, мы проигрываем в пути: узкий поршень надо опустить на расстояние d1, которое больше, чем расстояние d2, на которое поднимется широкий поршень. Во сколько же раз мы проигрываем в пути?

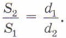
При опускании узкого поршня объём жидкости в узком сосуде уменьшится на V1 = S1d1 а при одновременном подъёме широкого поршня объём жидкости в широком сосуде увеличится на V2 = S2d2. Поскольку жидкость практически несжимаема, её общий объём не изменится: V1 = V2, то есть S1d1 = S2d2. Отсюда Сравнивая это соотношение с соотношением получаем

А это означает, что и в этом случае мы проигрываем в пути во столько же раз, во сколько раз выигрываем в силе. Например, если то мы выигрываем в силе в 10 раз, однако при этом и то есть мы опускаем узкий поршень на расстояние, в 10 раз превышающее расстояние, на которое поднимается широкий поршень.

Таким образом, мы приходим к выводу, что «золотое правило» механики справедливо и для гидравлического пресса.

 

 

???????@Mail.ru