Главная >> Физика 7 класс. Генденштейн

§ 25. Рычаг

Условие равновесия рычага

Рычагом называют твёрдое тело, которое может вращаться вокруг неподвижной точки.

Неподвижную точку называют точкой опоры.

Хорошо знакомый вам пример рычага — качели (рис. 25.1).

Когда двое на качелях уравновешивают друг друга?

Начнём с наблюдений. Вы, конечно, замечали, что двое людей на качелях уравновешивают друг друга, если у них примерно одинаковый вес и они находятся примерно на одинаковом расстоянии от точки опоры (рис. 25.1, а).

Если же эти двое сильно отличаются по весу, они уравновешивают друг друга только при условии, что более тяжёлый сидит намного ближе к точке опоры (рис. 25.1, б).

    Условие равновесия качелей

    Рис. 25.1. Условие равновесия качелей: а — люди равного веса уравновешивают друг друга, когда сидят на равных расстояниях от точки опоры; б — люди разного веса уравновешивают друг друга, когда более тяжёлый сидит ближе к точке опоры

Перейдём теперь от наблюдений к опытам: найдём на опыте условия равновесия рычага.

ПОСТАВИМ ОПЫТ

    Опыты по нахождению условия равновесия рычага

    Рис. 25.2. Опыты по нахождению условия равновесия рычага

Условие равновесия рычага

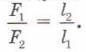
Расстояние от точки опоры до прямой, вдоль которой действует сила, называют плечом этой силы. Обозначим 1 и 2 силы, действующие на рычаг со стороны грузов (см. схемы в правой части рис. 25.2). Плечи этих сил обозначим соответственно l1 и l2. Наши опыты показали, что

рычаг находится в равновесии, если приложенные к рычагу силы 1 и 2 стремятся вращать его в противоположных направлениях, причём модули сил обратно пропорциональны плечам этих сил:

Это условие равновесия рычага было установлено на опыте Архимедом в 3-м веке до н. э.

Условие равновесия рычага вы сможете изучить на опыте в лабораторной работе № 11.

 

 

???????@Mail.ru