Главная >> Физика 7 класс. Генденштейн

Лабораторная работа 2

Измерение линейных размеров тел и площади поверхности

Цель работы: научиться измерять линейные размеры тел и площадь поверхности тела.

Оборудование: линейка, нитка, 20 горошин.

Ход работы

1. Измерьте линейкой длину, ширину и высоту учебника физики. Результаты запишите.

2. Измерьте толщину бумажного блока учебника (без обложки) и найдите количество листов в книге, используя номера страниц. По этим данным вычислите толщину бумаги. Результат запишите.

3. Положите вплотную к линейке ряд из 20 горошин. Измерьте длину ряда l. Вычислите диаметр одной горошины по формуле где n — количество горошин. Результат запишите.

4. Измерьте линейкой длину и ширину вашей парты. Вычислите площадь поверхности парты. Результаты запишите.

5. Начертите в тетради для лабораторных работ плавную кривую линию произвольной формы. С помощью нитки и линейки измерьте длину этой линии (с точностью до сантиметра). Результат запишите.

6. Найдите с помощью измерения и вычисления площадь Sк одной клеточки вашей тетради для лабораторных работ. Результат запишите.

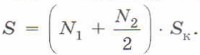
7. Положите ладонь на лист тетради и аккуратно обведите ладонь карандашом, чтобы образовался замкнутый контур. Подсчитайте и запишите в тетрадь число клеточек 1 расположенных полностью внутри контура, и количество клеточек N2, которые контур пересекает.

Подсчитайте площадь ладони S по формуле На рисунке для пояснения приведён пример: клеточки, закрашенные красным, учитывают полностью, а закрашенные розовым — «наполовину». Результаты запишите.

    аккуратно обведите ладонь карандашом

 

 

???????@Mail.ru