Главная >> Физика 7 класс. Генденштейн

§ 9. Прямолинейное равномерное движение

Прямолинейное равномерное движение: Что мы узнали. Вопросы и задания

Что мы узнали

• Прямолинейное равномерное движение — это такое прямолинейное движение, при котором тело за любые равные промежутки времени проходит равные пути.

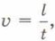
• Скорость прямолинейного равномерного движения где l — пройденный путь, t — промежуток времени, в течение которого пройден этот путь.

• По известным значениям скорости и времени движения можно найти путь, пройденный телом: l = υt.

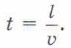
• По известным значениям пути и скорости можно найти время движения:

• Единицей скорости в СИ является 1м/с. Часто используют также единицу скорости 1 км/ч.

• Если два тела движутся вдоль одной прямой в одном направлении со скоростями υ1 и υ2, причём υ1 > υ2, то их относительная скорость υотн = υ1 - υ2.

• Если два тела движутся вдоль одной прямой в противоположных направлениях со скоростями и v2, то их относительная скорость υотн = υ1 + υ2.

Вопросы и задания

Первый уровень

1. Автомобиль проехал по прямой дороге за первый час 60 км, а за два последующих часа 100 км. Было ли его движение прямолинейным равномерным?

2. Автомобиль проехал по прямой дороге за первый час 60 км, а за два последующих часа 120 км. Можно ли утверждать, что его движение было прямолинейным равномерным?

3. Как связана скорость прямолинейного равномерного движения с пройденным путём и временем движения?

4. Какие вы знаете единицы скорости?

5. Велосипедист едет со скоростью 4 м/с. Какова его скорость в километрах в час?

6. Автомобиль едет со скоростью 108 км/ч. Какова его скорость в метрах в секунду?

Второй уровень

7. Пешеход идёт со скоростью 5 км/ч, а велосипедист едет со скоростью 5 м/с. Чья скорость больше и во сколько раз? Попробуйте решить задачу устно.

8. Автомобиль едет со скоростью 100 километров в час. Водитель на секунду отвлёкся для ответа на звонок мобильного телефона. Какое расстояние проедет автомобиль за эту секунду? Сравните его с длиной вашего класса.

9. Бык бежит со скоростью 34 км/ч, а сильно испуганный человек — со скоростью 10 м/с (рис. 9.5). Кто бежит быстрее?

    Рис. 9.5

10. Скорость искусственного спутника Земли на околоземной орбите равна приблизительно 8 км/с. За какой промежуток времени этот спутник пройдёт путь, равный расстоянию от Москвы до Санкт-Петербурга (около 650 км)?

11. За сколько времени мог бы человек, идя без остановок, обойти земной шар по экватору (рис. 9.6)? Длину земного экватора примите равной 40 000 км, а скорость пешехода — 4,6 км/ч.

    Рис. 9.6

    Рис. 9.6. За сколько времени смог бы человек обойти Землю?

12. За сколько времени гепард промчался бы вдоль вашего класса?

13. Какова скорость Ту-144 (в километрах в час), когда он летит со скоростью, вдвое превышающей скорость звука в воздухе?

14. Составьте задачу на прямолинейное равномерное движение, ответом которой было бы «2 ч 30 мин».

Домашняя лаборатория

Измерьте скорость своей ходьбы. Для этого измерьте длину одного шага, отмерьте во дворе или на улице расстояние, равное, например, 100 шагам, и измерьте время, которое потребуется вам, чтобы пройти это расстояние. Измерьте затем скорость, с которой вы бежите. Во сколько раз скорость бега больше скорости ходьбы?

 

 

???????@Mail.ru