Главная >> Физика 7 класс. Генденштейн

§ 12. Закон инерции. Масса тела

Как сравнить массы двух тел?

Мы уже знаем, что измерить физическую величину — значит сравнить её с единицей этой величины. Как же можно сравнить массы двух тел?

ПОСТАВИМ ОПЫТ

Возьмём две одинаковые тележки, которые могут двигаться по столу почти без трения, и укрепим на них упругие пластинки. Согнём пластинки и зафиксируем их в согнутом состоянии с помощью нити (рис. 12.3, а).

Поставим тележки рядом и пережжём нить. Пластинки распрямятся, и тележки оттолкнутся одна от другой. При этом они приобретут одинаковые по величине и противоположно направленные скорости (рис. 12.3, б). Отсюда мы можем заключить, что если два тела одинаковой массы первоначально покоились, то вследствие взаимодействия друг с другом они приобретают равные скорости.

    Сравнение масс

    Рис. 12.3. Сравнение масс двух тележек при их взаимодействии друг с другом

Повторим опыт, поместив на одну из тележек ещё одну такую же тележку. В этом случае гружёная тележка приобретёт вдвое меньшую скорость, чем пустая (рис. 12.1, в). Заметим, что и общая масса двух тележек в 2 раза больше, чем масса одной тележки!

Проведённые опыты позволяют высказать гипотезу (предположение), что отношение масс двух тел обратно отношению скоростей, которые приобрели эти тела вследствие взаимодействия друг с другом.

Чтобы проверить эту гипотезу, повторим опыт ещё раз, положив на гружёную тележку ещё одну пустую. Мы увидим, что гружёная тележка с тройной массой приобретёт втрое меньшую скорость, чем пустая. Таким образом, опыт подтверждает нашу гипотезу.


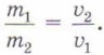
Итак, если два покоящихся вначале тела в результате взаимодействия друг с другом приобрели скорости υ1 и υ2, то отношение масс этих тел обратно отношению их скоростей: Это и позволяет сравнивать массы двух тел.

При взаимодействии двух первоначально покоящихся тел первое тело массой 1 кг приобрело скорость 1 м/с, а второе тело приобрело скорость 10 м/с. Какова масса второго тела?

 

 

???????@Mail.ru