Главная >> Физика 7 класс. Генденштейн

§ 18. Давление твёрдых тел

Давление твёрдых тел: Более трудные задачи

На столе стоят два куба, сделанные из одного и того же материала. Длина ребра одного куба в 2 раза больше, чем длина ребра другого. Какой куб оказывает большее давление на стол? Во сколько раз большее?

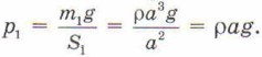
Р е ш е н и е. Обозначим плотность материала кубов р, а длину ребра меньшего куба а. Объём меньшего куба равен а3, а площадь его грани S1 = а2. Поэтому меньший куб оказывает давление Объём большего куба (2а)3 = 8а3, a площадь его грани S2 = (2а)2 = 4а2. Следовательно, больший куб оказывает давление

О т в е т: больший куб оказывает в 2 раза большее давление.

На примере этой задачи мы видим, что если все размеры тела увеличить в одно и то же число раз, то давление, оказываемое этим телом, увеличивается во столько же раз.

Какова масса медного куба, если он оказывает на стол давление 4 кПа?

Р е ш е н и е. Чтобы узнать массу куба, достаточно узнать длину его ребра, поскольку плотность меди нам известна (8,9 х 103 кг/м3). Из предыдущей задачи мы знаем, что куб оказывает давление р = рag, где ρ — плотность вещества, а — ребро куба.

Отсюда

Следовательно,

О т в е т: 0,8 кг.

 

 

???????@Mail.ru