Главная >> Физика 7 класс. Перышкин

Глава 2. Взаимодействие тел

§ 22. Плотность вещества

Тела, окружающие нас, состоят из различных веществ: дерева, железа, резины и т. д.

Взвешивание тел равного объёма, изготовленных из разных веществ

Масса любого тела зависит не только от его размеров, но и от того, из какого вещества это тело состоит. При этом тела, имеющие равные объёмы, но изготовленные из разных веществ, имеют разные массы.

Взвесим два цилиндра равного объёма, но изготовленные из разных веществ. Например, один цилиндр — алюминиевый, а другой — свинцовый. Опыт показывает, что масса алюминиевого цилиндра почти в 4 раза меньше массы свинцового (рис. 50).

В то же время тела с равными массами, изготовленные из разных веществ, имеют разные объёмы.

Так, железный брус массой 1 т занимает объём 0,13 м3, а лёд массой 1т — объём 1,1 м3.

Тела равной массы, но разного объёма

Объём льда почти в 9 раз больше объёма железного бруса (рис. 51).

Это объясняется тем, что разные вещества могут иметь разную плотность.

Отсюда следует, что тела объёмом 1 м3 каждое, изготовленные из разных веществ, имеют разные массы. Так, алюминий объёмом 1 м3 имеет массу 2700 кг, свинец такого же объёма (1 м3) имеет массу 11 300 кг.

Плотность показывает, чему равна масса вещества, взятого в объёме 1 м3 (или 1 см3).

Как же можно найти плотность данного вещества?

П р и м е р. Мраморная плита имеет объём 2 м3, а её масса равна 5400 кг. Определите плотность мрамора.

Известно, что мрамор объёмом 2 м3 имеет массу 5400 кг. Следовательно, 1 м3 мрамора будет иметь массу в 2 раза меньшую, т. е. 5400 : 2 = 2700 кг. Таким образом, плотность мрамора будет равна 2700 кг на 1 м3.

Итак, если известна масса тела и его объём, можно определить плотность.

Чтобы найти плотность вещества, надо массу тела разделить на его объём.

  • Плотность — это физическая величина, которая равна отношению массы тела к его объёму.

Обозначим величины, входящие в это выражение, буквами: плотность вещества — ρ (греч. буква «ро»), масса тела — m, его объём — V.

Тогда получим формулу для вычисления плотности:

формула для вычисления плотности

Единицей плотности вещества в СИ является килограмм на кубический метр

Плотность кубика, длина ребра которого равна 1 см, численно равна массе этого кубика

Плотность вещества выражают очень часто и в граммах на кубический сантиметр (рис. 52).

Если плотность вещества выражена в кг/см3, то её можно перевести в г/см3 следующим образом.

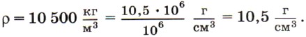
П р и м е р. Плотность серебра 10 500 кг/см3. Выразите её в г/см3.

Переведём килограммы в граммы, а кубические метры в кубические сантиметры:

10 500 кг = 10 500 000 г (или 10,5 • 106г),
1 м3 = 1 000 000 см3 (или 106 см3).

Тогда

Следует помнить, что плотность одного и того же вещества в твёрдом, жидком и газообразном состояниях различна. Так, плотность льда равна 900 кг/см3., воды 1000 кг/см3, водяного пара 0,590 кг/см3.

Астрономам удалось рассчитать плотности планет Солнечной системы. У планет-гигантов: Юпитера, Сатурна, Урана и Нептуна — малая плотность. Это объясняется тем, что основная часть составляющего их вещества (водород и гелий) находится в газообразном и жидком состоянии. Самая низкая плотность у Сатурна порядка 700 кг/м3. А вот плотность планет земной группы — Меркурия, Венеры, Земли и Марса — превосходит в 5—6 раз плотность планет-гигантов. На основании этих данных астрономы пришли к выводу, что планеты земной группы состоят из твёрдых веществ.

Ниже приведены таблицы плотностей некоторых твёрдых тел, жидкостей и газов.

Плотности некоторых твёрдых тел (при норм. атм. давл., t = 20 °С)

Плотности некоторых жидкостей (при норм. атм. давл., t
= 20 °С)

Плотности некоторых газов (при норм. атм. давя., t = 20 °С)

Вопросы

1. По какой формуле можно рассчитать плотность вещества?
2 Какова единица плотности в СИ?
3. Какие ещё единицы плотности вам известны?

Упражнение 7

1. Плотность редкого металла осмия равна 22 600 кг/м3. Что это означает?
2. Пользуясь таблицами плотностей (табл. 2, 3), определите, плотность какого вещества больше: цинка или серебра; бетона или мрамора; бензина или спирта.

Кусочек сахара имеет размеры: а = 2,5 см, b = 1 см, с = 0,7 см
3. Три кубика — из мрамора, льда и латуни — имеют одинаковый объём. Какой из них имеет большую массу, а какой — меньшую?
4. Самое лёгкое дерево — бальза. Масса древесины этого дерева равна 12 г при объёме 100 см3. Определите плотность древесины г/см3 и кг/м3.
5. Кусочек сахара имеет размеры: а = 2,5 см, b = 1 см, с = 0,7 см (рис. 53). Его масса равна 0,32 г. Определите плотность сахара. Проверьте полученный результат по таблице 2.

Задание

В вашем распоряжении имеются весы с разновесами, измерительный цилиндр с водой и металлический шарик на нити. Предложите, как определить плотность шарика.

 

 

???????@Mail.ru