Главная >> Физика 7 класс. Пурышева

Глава 3. Световые явления

§ 58*. Формула линзы

    Каков после преломления в линзе ход луча света, параллельного главной оптической оси линзы?

    Каков после преломления ход луча света, проходящего через оптический центр линзы?

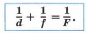
1. Установим связь между расстояниями от предмета до линзы и от линзы до изображения и фокусным расстоянием.

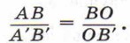
Построим изображение предмета АВ в собирающей линзе (рис. 190). Расстояние ОВ от предмета до линзы обозначим буквой d, расстояние ОВ' от линзы до изображения — буквой ƒ, фокусное расстояние OF — буквой F.

    Рис. 190

Рассмотрим треугольники АВО и А'ОВ'. Эти треугольники подобны, так как имеют равные углы. Поэтому

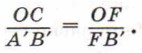
Треугольники OCF и A'B'F также подобны, так как имеют равные углы. Следовательно,

Поскольку АВ = ОС и FB' = OB' - OF, можем записать

Подставив введённые обозначения, получим

Умножив обе части этого равенства на ƒ(ƒ - F), запишем

    Fƒ = ƒd - Fd.

Разделим обе части последнего равенства на Fƒd, получим

    формула линзы

Окончание >>>

 

 

???????@Mail.ru