Главная >> Физика 8 класс. Генденштейн

§ 9. Закон сохранения электрического заряда. Элементарный электрический заряд

Закон Кулона

Материал этого раздела рекомендуется для изучения в ознакомительном плане.

Расскажем об опыте, в котором французский учёный Ш. Кулон измерил, как зависит сила взаимодействия между заряженными телами от зарядов тел и расстояния между ними.

На тонкой нити (рис. 9.4) горизонтально подвешен лёгкий стержень. На одном его конце укреплён заряженный шарик, а на другом — лёгкий противовес. Второй шарик, заряженный одноимённо с первым, укреплён на вертикальном неподвижном стержне.

    Опытная установка Кулона

Из-за электрического отталкивания шариков нить закручивается на небольшой угол. По этому углу Кулон и измерял силу взаимодействия шариков. Заряды шариков учёный изменял, касаясь заряженным шариком такого же, но незаряженного: при этом электрический заряд делился между шариками поровну.

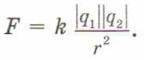
В своих опытах Кулон установил:

неподвижные точечные заряды действуют друг на друга силами, прямо пропорциональными модулям зарядов и обратно пропорциональными квадрату расстояния между ними. Модуль каждой силы

При этом, как мы уже знаем, одноимённые заряды отталкиваются, а разноимённые — притягиваются.

Измерения показывают, что k = 9 • 109 Н • м2/Кл2. Это означает, что два точечных заряда по 1 Кл каждый, находящихся на расстоянии 1 м друг от друга, взаимодействовали бы с силами, каждая из которых равна 9 • 109 Н (вспомните приведённое выше сравнение).

    Кулон

 

 

???????@Mail.ru