Главная >> Физика 8 класс. Генденштейн

§ 10. Электрическое поле

Напряжение

Когда заряд перемещается в электрическом поле, сила, действующая на него со стороны поля, совершает работу.

Физическую величину U, равную отношению работы А, совершаемой электрическим полем при перемещении заряда q из одной точки в другую, к значению заряда, называют электрическим напряжением1 между этими точками:

    Напряжение

    1 Эту величину в учебной литературе для старших классов называют разностью потенциалов.

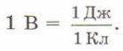
Единица напряжения

Единицей напряжения является вольт (В). Эта единица напряжения названа в честь итальянского учёного А. Вольты. Напряжение между двумя точками равно 1 В, если при перемещении заряда 1 Кл между этими точками поле совершает работу 1 Дж. Таким образом,

    Единица напряжения

Используют также милливольты (1 мВ = 0,001 В) и киловольты (1 кВ = 1000 В).

Велико ли напряжение 1 В?

Безопасным для человека является напряжение, не превышающее 20—30 В. Например, для проведения школьных лабораторных работ используют напряжение 4 В.

Напряжение в квартирных розетках равно 220 В. Это напряжение опасно для жизни, поэтому будьте осторожны с электричеством (рис. 10.4).

    Напряжение в квартирных розетках опасно для жизни

 

 

???????@Mail.ru