Главная >> Физика 8 класс. Генденштейн

§ 21. Производство и передача электроэнергии

Как повышают и понижают напряжение

Напряжение переменного тока изменяют с помощью трансформаторов (от латинского «трансформаре» — преобразовывать).

Трансформатор состоит из двух катушек изолированного провода, намотанных на общий стальной сердечник (рис. 21.6). При этом катушки имеют разное число витков.

    Трансформаторы

На одну катушку (её называют первичной) подают переменный ток под напряжением U1 (входное напряжение). Переменный ток создаёт внутри катушки переменное магнитное поле. Оно сосредоточено в основном внутри стального сердечника, поэтому пронизывает и другую катушку (вторичную). И если другая катушка замкнута, то в ней вследствие явления электромагнитной индукции возникает индукционный ток. Напряжение U2 на концах вторичной катушки называют выходным напряжением.

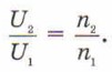
Опыты и расчёты показывают, что отношение выходного напряжения к входному равно отношению числа витков n2 и n1 соответственно во вторичной и первичной катушках:

Если напряжение U2 > U1, то трансформатор повышает напряжение, поэтому его называют повышающим, а если U2 < U1 то трансформатор понижает напряжение, поэтому его называют понижающим.

Первым применил трансформаторы для преобразования напряжения переменного тока российский электротехник П. Н. Яблочков.

    Какой из трансформаторов, изображённых на рис. 21.6, является повышающим, а какой — понижающим?

 

 

???????@Mail.ru