Главная >> Физика 8 класс. Перышкин. Онлайн учебник

Глава 4. Световые явления

§ 68. Линзы. Оптическая сила линзы

Для того чтобы управлять световыми пучками, т. е. изменять направление лучей, применяют специальные приборы, например лупу, микроскоп. Основной частью этих приборов является линза.

  • Линзами называются прозрачные тела, ограниченные с двух сторон сферическими поверхностями.

Линзы бывают двух видов — выпуклые и вогнутые.

Линза, у которой края намного тоньше, чем середина, является выпуклой (рис. 151, а).

Линза, у которой края толще, чем середина, является вогнутой (рис. 151, б).

Виды линз: а — выпуклые;
б — вогнутые

Прямая АВ, проходящая через центры C1 и С2 (рис. 152) сферических поверхностей, ограничивающих линзу, называется оптической осью.

Направив на выпуклую линзу пучок лучей, параллельных оптической оси линзы, мы увидим, что после преломления в линзе эти лучи пересекают оптическую ось в одной точке (рис. 153). Эта точка называется фокусом линзы. У каждой линзы два фокуса — по одному с каждой стороны линзы.

Оптические линзы

Собирающая линза: а — прохождение лучей через фокус; б — изображение её на схемах

Расстояние от линзы до её фокуса называется фокусным расстоянием линзы и обозначается буквой F.

Если на выпуклую линзу направить пучок параллельных лучей, то после преломления в линзе они соберутся в одной точке — F (см. рис. 153). Следовательно, выпуклая линза собирает лучи, идущие от источника. Поэтому выпуклая линза называется собирающей.

При прохождении лучей через вогнутую линзу наблюдается другая картина.

Пустим пучок лучей, параллельных оптической оси, на вогнутую линзу. Мы заметим, что лучи из линзы выйдут расходящимся пучком (рис. 154). Если такой расходящийся пучок лучей попадёт в глаз, то наблюдателю будет казаться, что лучи выходят из точки F. Эта точка находится на оптической оси с той же стороны, с какой падает свет на линзу, и называется мнимым фокусом вогнутой линзы. Такую линзу называют рассеивающей.

Рассеивающая линза: а — прохождение лучей через фокус; б — изображение её на схемах

Преломление лучей линзами различной кривизны

Линзы с более выпуклыми поверхностями преломляют лучи сильнее, чем линзы с меньшей кривизной (рис. 155).

Если у одной из двух линз фокусное расстояние короче, то она даёт большее увеличение (рис. 156). Оптическая сила такой линзы больше.

Линзы характеризуются величиной, которая называется оптической силой линзы. Оптическая сила обозначается буквой D.

  • Оптическая сила линзы — это величина, обратная её фокусному расстоянию.

Оптическая сила линзы рассчитывается по формуле

Оптическая сила линзы рассчитывается по формуле

собирающей линзы

За единицу оптической силы принята диоптрия (дптр).

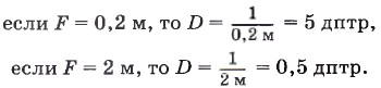
1 диоптрия — это оптическая сила линзы, фокусное расстояние которой равно 1 м. Если фокусное расстояние линзы меньше 1 м, то оптическая сила будет больше 1 дптр. В случае, когда фокусное расстояние линзы больше 1 м, её оптическая сила меньше 1 дптр.

Например,

Поскольку у рассеивающей линзы фокус мнимый, то условились считать её фокусное расстояние отрицательной величиной. Тогда и оптическая сила рассеивающей линзы будет отрицательной.

Оптическую силу собирающей линзы условились считать положительной величиной.

Вопросы

1. Как по внешнему виду линз можно узнать, у какой из них короче фокусное расстояние?
2. Какая из двух линз, имеющих разные фокусные расстояния, даёт большее увеличение?
3. Какую величину называют оптической силой линзы?
4. Как называется единица оптической силы?
5. Оптическая сила какой линзы принимается за единицу?
6. Чем отличаются друг от друга линзы, оптическая сила одной из которых равна +2,5 дптр, а другой -2,5 дптр?

Упражнение 48

1. По рисунку 155 сравните оптические силы изображённых на нём линз.

2. Оптическая сила линзы равна -1,6 дптр. Каково фокусное расстояние этой линзы? Можно ли с её помощью получить действительное изображение?

 

 

???????@Mail.ru