Главная >> Физика 8 класс. Пурышева

Глава 2. Механические свойства жидкостей, газов и твёрдых тел

§ 11. Гидравлическая машина. Гидравлический пресс (окончание)

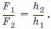
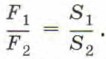
Объём масла равен произведению площади поперечного сечения цилиндра и расстояния, на которое переместился поршень, т. е. V1 = S1h1, V2 = S2h2. Можно записать: S1h1 = S2h2 или

Как вы уже знаете, Сравнивая эти выражения, видим, что у них равны правые части, следовательно, равны и левые: Преобразовав это равенство, получим: F1h1 = F2h2. Произведение силы на расстояние, пройденное телом в направлении действия этой силы, есть работа (А = Fh). Таким образом,

    А1 = А2, т. е.

гидравлическая машина не даёт выигрыша в работе.

В реальной ситуации работа А1 силы F1 всегда будет больше работы А2 силы F2, поскольку совершается работа не только по подъёму груза, лежащего на платформе, прикреплённой к большому поршню, но и по перемещению поршня, масла, находящегося в машине, по преодолению сил сопротивления. Поэтому коэффициент полезного действия (КПД) гидравлической машины всегда меньше 100%.

    Вопросы для самопроверки

1. Каков принцип действия гидравлической машины?

2. Какой выигрыш в силе даёт гидравлическая машина?

3. Где применяются гидравлические машины?

4*. Может ли коэффициент полезного действия гидравлической машины быть равным 100%? Почему?

5*. Может ли гидравлическая машина дать выигрыш в работе? Как это доказать?

    Задание 10

1. Площадь малого поршня гидравлического пресса 4 см2, а большого— 100 см2. На малый поршень действует сила 80 Н. Определите массу груза, который можно поднять с помощью большого поршня.

2. На малый поршень гидравлического подъёмника действует сила 50 Н, а большой поршень поднимает груз массой 75 кг. Чему равна площадь малого поршня, если площадь большого 60 см2? Вычислите работу силы, действующей на малый поршень, если он переместился на 0,5 м. На какую высоту при этом поднялся большой поршень ?

    Ответы к заданиям

1. 200 кг.

2. 4 см2; 25 Дж; 0,03 м.

<<< К началу

 

 

???????@Mail.ru