Главная >> Физика 8 класс. Пурышева

Лабораторная работа № 5

Измерение удельной теплоёмкости вещества

    Цель работы:

научиться измерять удельную теплоёмкость вещества.

    Приборы и материалы:

металлическое тело на нити, калориметр, стакан с холодной водой, термометр, весы, разновес, измерительный цилиндр (мензурка), сосуд с горячей водой, кусочек ткани.

    Порядок выполнения работы

Составьте план выполнения работы и выполните её. Если вы затрудняетесь сделать это самостоятельно, воспользуйтесь приведённым ниже планом.

1. Налейте в калориметр холодную воду, измерив её массу и температуру.

2. Опустите в калориметр с водой нагретое в горячей воде металлическое тело, измерив предварительно его температуру в горячей воде.

3. Измерьте температуру воды после того, как установится тепловое равновесие между водой и опущенным в неё телом.

4. Измерьте массу металлического тела, предварительно протерев его тканью.

5. Запишите полученные результаты измерений в таблицу 12 и вычислите по ним удельную теплоёмкость вещества металлического тела.

6. Вычислите абсолютную погрешность измерения удельной теплоёмкости вещества и запишите её значение в таблицу 12 с учётом погрешности измерений.

    Таблица 12

7. Определите, из какого вещества сделано металлическое тело, сравнив полученное значение удельной теплоёмкости с табличными значениями.

Примечание. Вычисление погрешности измерений.

В данной работе выполнялось косвенное измерение. Косвенное измерение — это такое измерение, при котором значение измеряемой величины получают путём математических действий со значениями величин, полученных в ходе прямых измерений с помощью приборов.

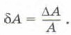
При вычислении погрешности косвенного измерения сначала определяют относительную погрешность, а затем абсолютную. Относительная погрешность δА измерения некоторой величины равна отношению абсолютной погрешности ΔА к измеренному значению величины А:

    относительную погрешность

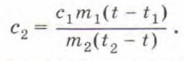
Значение удельной теплоёмкости в данной работе вычисляется по формуле

    Значение удельной теплоёмкости

Погрешность результата связана в данном случае с несовершенством метода проведения эксперимента, поскольку не учитывается теплообмен с окружающей средой, а также с несовершенством измерительных приборов. При данном методе измерений наибольшую погрешность в полученный результат вносит погрешность измерения температуры, поэтому погрешностью измерения массы воды и тела можно пренебречь.

Относительная погрешность измерения удельной теплоёмкости вещества δс2 равна:

    Относительная погрешность измерения удельной теплоёмкости

Отсюда абсолютная погрешность измерения удельной теплоёмкости равна: Δс2 = с2 • δс2. Окончательный результат запишется следующим образом: с = с2 ± Δс2.

 

 

???????@Mail.ru