Главная >> Физика 8 класс. Пурышева

Глава 3. Тепловые явления, газов и твёрдых тел

Удельная теплота сгорания топлива

3. Если сгорает не 1 кг сухих дров, а, например, 20 кг, то при их полном сгорании выделится количество теплоты в 20 раз большее, т. е. 20 • 107 Дж.

В общем случае количество теплоты Q, выделяющееся при полном сгорании топлива, равно произведению удельной теплоты сгорания топлива q и его массы m:

Q = qm.

4. Пример решения задачи

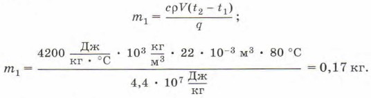
Определите массу природного газа, который нужно сжечь для того, чтобы нагреть 22 л воды от 20 JC до кипения (100 °С).

    Рис.

Количество теплоты Q1, выделившееся при сгорании топлива, равно:

    Q1 = qm1.

Количество теплоты Q2, пошедшее на нагревание воды, равно:

    Q2 = cm2(t2 - t1).

Масса воды m2 равна произведению плотности воды на её объём:

    m2 = ρV.

С учётом этого получим:

    qm1 = cρV(t2 - t1).

Отсюда

Ответ: m1 = 0,17 кг.

При решении задачи получилось, что для нагревания 22 кг воды от комнатной температуры до кипения требуется природный газ сравнительно небольшой массы. В реальной ситуации его потребовалось бы несколько больше, поскольку часть энергии идёт на нагревание окружающего воздуха и сосуда, в котором находится вода.

<<< К началу      Окончание >>>

 

 

???????@Mail.ru