Главная >> Физика 8 класс. Пурышева

Глава 4. Изменение агрегатных состояний вещества, газов и твёрдых тел

§ 27. Плавление и отвердевание кристаллических веществ (окончание)

7. Пример решения задачи

В калориметр, содержащий воду массой 500 г при температуре 30 °С, опустили кусок льда при температуре плавления. При тепловом равновесии в калориметре установилась температура 10 °С. Определите массу льда.

    Пример решения задачи

Количество теплоты, отданное водой:

    Q1 = cmB(t1 - t).

Количество теплоты, необходимое для плавления льда: Q2 = λmл.

Количество теплоты, полученное образовавшейся изо льда водой:

    Q3 = сmл(t - t2).

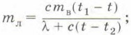
С учётом этого можно записать:

    cmB(t1 - t) = λmл + cmл(t - t2).

Отсюда

    Вопросы для самопроверки

1. Что называют агрегатными превращениями вещества? Какие агрегатные превращения вы знаете? Приведите примеры.

2. Какой процесс называют плавлением; кристаллизацией?

3. Опишите процесс плавления кристаллического вещества и объясните его на основе молекулярно-кинетической теории строения вещества.

4. Чем отличается плавление кристаллического тела от плавления аморфного тела?

5. Можно ли расплавить свинец в оловянной миске?

6. Что называют удельной теплотой плавления?

7. Удельная теплота плавления железа 2,7 • 105 Дж/кг. Что это означает?

    Задание 27

1. Почему для измерения температуры в северных районах используют не ртутные, а спиртовые термометры?

2. На рисунке 71 приведён график зависимости температуры цинка от времени его нагревания. Каким процессам соответствуют участки графика АВ, ВС, CD, DE, EF?

    Рис. 71

3. Представьте значения температуры плавления свинца, алюминия и серебра в виде столбчатой диаграммы.

4. Сравните внутреннюю энергию 1 кг кристаллического и жидкого серебра при температуре плавления.

5. Какое количество теплоты необходимо затратить для плавления 20 кг алюминия при температуре 660 °С?

6. Какое количество теплоты выделится при кристаллизации 5 кг олова и при дальнейшем его охлаждении до температуры 32 °С?

7Э. Выполните опыт. Заморозьте в холодильнике воду. Получившийся кусок льда раздробите и положите в стакан. Наблюдайте за изменением состояния льда и измеряйте температуру. Отмечайте значения температуры через равные промежутки времени. Запишите данные в таблицу. Постройте график зависимости температуры льда в стакане от времени его нагревания. Если у вас есть весы, то предварительно взвесьте кусок льда и рассчитайте количество теплоты, которое получит лёд при плавлении.

    Ответы к заданиям

5. 7,8 • 106 Дж.

6. 5,25 • 105 Дж.

<<< К началу

 

 

???????@Mail.ru