Главная >> Физика 8 класс. Пурышева

Глава 5. Тепловые свойства газов, жидкостей и твёрдых тел, газов и твёрдых тел

Связь между параметрами состояния газа

4. Выясним, какова связь между объёмом и температурой газа при постоянном давлении. Массу газа также изменять не будем.

Вновь обратимся к наблюдениям. Закроем колбу пробкой, в которую вставлена изогнутая под прямым углом трубка (рис. 80, а). В трубке находится небольшой столбик подкрашенной воды. Нагреем колбу, столбик воды при этом переместится вправо (рис. 80, б). Чем сильнее будем нагревать колбу, тем на большее расстояние переместится столбик воды.

    Чем сильнее будем нагревать колбу, тем на большее расстояние переместится столбик воды.

Объясним результат опыта. В начальный момент времени столбик воды был неподвижен, следовательно, давление воздуха в колбе было равно атмосферному. При нагревании колбы столбик воды передвинется и остановится тогда, когда давление воздуха в колбе вновь станет равно атмосферному, т. е. давление воздуха в колбе не изменяется, а объём его при нагревании увеличивается.

Таким образом, при неизменном давлении объём газа данной массы увеличивается при возрастании его температуры.

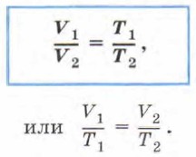
5. Точные измерения показывают, что отношение объёма газа данной массы к его абсолютной температуре при неизменном давлении есть величина постоянная:

Такую зависимость между объёмом и температурой газа называют прямо пропорциональной. Можно сказать, что:

объём газа данной массы при постоянном давлении прямо пропорционален его абсолютной температуре.

Графиком такой зависимости является прямая линия, проходящая через начало координат (рис. 81). Однако для реальных газов зависимость между объёмом газа и его температурой в области низких температур (близких к абсолютному нулю) не будет прямо пропорциональной. Поэтому на графике отрезок, соответствующий этим температурам, показан пунктиром.

    Рис. 81

6. На основе молекулярно-кинетической теории строения вещества зависимость объёма газа данной массы от температуры при постоянном давлении можно объяснить следующим образом. При повышении температуры возрастают скорость движения молекул и соответственно давление газа на стенки сосуда. Чтобы давление осталось неизменным, должна уменьшиться концентрация молекул газа. Это происходит при увеличении его объёма.

7. Рассмотрим процесс, при котором изменяются температура и давление газа, а его масса и объём остаются неизменными.

Изменим несколько схему наших рассуждений. Попробуем предсказать, как зависит давление газа данной массы от температуры при неизменном объёме, зная особенности молекулярного строения газа.

При повышении температуры увеличивается скорость движения молекул газа и их средняя кинетическая энергия. Соответственно молекулы газа будут чаще и с большей силой ударяться о стенки сосуда, что приведёт к увеличению давления.

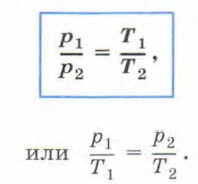
8. Опыт показывает, что отношение давления газа данной массы к абсолютной температуре при постоянном объёме есть величина постоянная:

Иначе говоря,

давление газа данной массы при постоянном объёме прямо пропорционально его абсолютной температуре.

    давление газа

Графиком зависимости давления газа данной массы от абсолютной температуры при постоянном объёме является прямая, проходящая через начало координат (рис. 82). Отрезок графика, соответствующий температурам, близким к абсолютному нулю, показан пунктиром, так как при таких температурах нарушается прямая пропорциональная зависимость.

    Рис. 82

<<< К началу      Окончание >>>

 

 

???????@Mail.ru