Главная >> Физика 8 класс. Пурышева

Глава 5. Тепловые свойства газов, жидкостей и твёрдых тел, газов и твёрдых тел

§ 33. Тепловое расширение твёрдых тел и жидкостей

    Каково строение жидкостей и твёрдых тел?

    Что происходит с молекулами вещества при повышении температуры?

1. Кроме теплопроводности, одним из тепловых свойств твёрдого тела является его расширение при нагревании. Вспомните опыт с металлическим шаром, который проходил через кольцо при комнатной температуре (см. рис. 3) и застревал в нём, когда шар нагревали. Это говорит о том, что объём шара при нагревании увеличивался.

Изменение размеров тела при его нагревании называют тепловым расширением. У твёрдого тела различают линейное расширение — изменение длины, ширины, высоты тела (его линейных размеров) и объёмное расширение — изменение объёма при нагревании.

Различные твёрдые вещества по-разному расширяются при нагревании: одни больше, другие меньше. Тепловое расширение характеризуется величиной, называемой температурным коэффициентом расширения.

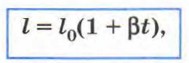
2. Длина l тела при нагревании от 0 °С до температуры t °С вычисляется по формуле:

    длина тела

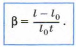
где l0 — длина тела при температуре 0 °С, β — температурный коэффициент линейного расширения. Этот коэффициент показывает, во сколько раз от своего первоначального значения изменяется линейный размер тела при его нагревании на 1 °С.

Единицей температурного коэффициента линейного расширения является градус в минус первой степени (1 град-1 или 1 К-1).

    температурный коэффициент линейного расширения.

Температурные коэффициенты линейного расширения для большинства веществ измерены и приведены в специальных таблицах.

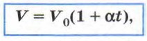
3*. Объём V тела при нагревании от 0 °С до температуры t °С вычисляется по формуле:

    Объём V тела

где V0 — объём тела при температуре О °С, α — температурный коэффициент объёмного расширения, его единицей является 1 град-1 или 1 К-1.

Например, температурный коэффициент объёмного расширения алюминия при 20 °С равен 13,7 • 10-6 град-1, олова — 21,4 • 10-6 град-1, бетона — примерно 12 • 10-6 град-1, эбонита — 70 • 10-6 град-1.

4*. Поликристаллы одинаково расширяются по всем направлениям. Для них температурный коэффициент объёмного расширения приблизительно в 3 раза больше температурного коэффициента линейного расширения (α ≈ 3β).

Монокристаллы по-разному расширяются в разных направлениях. Если вырезать шар из какого-либо монокристалла и нагреть, то он превратится в эллипсоид (примет вытянутую форму). У некоторых веществ температурные коэффициенты линейного расширения для разных направлении различаются довольно существенно. Так, у гипса он для трёх направлений равен соответственно 1,6 • 10-6 град-1, 42 • 10-6 град-1, 29 • 10-6 град-1.

Существуют монокристаллы, у которых по некоторым направлениям температурный коэффициент линейного расширения имеет отрицательные значения. Это значит, что при нагревании в этих направлениях кристаллы сжимаются, а в других расширяются.

5. Тепловое расширение твёрдых тел учитывается в технике. Железнодорожные рельсы так же, как и все тела, меняют свою длину при охлаждении и нагревании. Если бы рельсы были плотно пригнаны друг к другу, то при изменении температуры в них возникали бы огромные напряжения, которые могли бы привести к разрушению путей. Поэтому, укладывая рельсы между участками длиной 100—150 м, оставляют зазор. Зимой этот зазор увеличивается, а летом уменьшается.

Продолжение >>>

 

 

???????@Mail.ru