Главная >> Физика 8 класс. Пурышева

Глава 6. Электрические явления

Основное в главе 6: Электрические явления

1. Рассмотренные электрические явления составляют лишь малую часть всего учения об электричестве. Общая теория электричества называется в физике электродинамикой, а изученный нами раздел, в котором рассматриваются заряды, находящиеся в состоянии покоя, — электростатикой.

2. Основные понятия электростатики (табл. 24).

    Таблица 24

    Продолжение табл. 24

    Окончание табл. 24

3. Основные законы электростатики:

    — закон сохранения электрического заряда: q1 + q2 + g3 + ... = const;

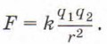
    — закон Кулона* :

 

 

???????@Mail.ru