Главная >> Физика 8 класс. Пурышева

Глава 7. Электрический ток

§ 50. Сила тока. Амперметр

    Какие действия электрического тока вам известны?

    Какова единица электрического заряда?

1. Выясним, от чего зависят действия электрического тока. Вспомним опыты, которые описаны в § 48. Они свидетельствуют о том, что действия электрического тока могут проявляться в разной степени. Так, в опыте с прохождением электрического тока по металлической проволоке (см. рис. 149) она может слегка нагреться, а может раскалиться докрасна; она может прогнуться в большей или меньшей степени.

То же относится и к химическому действию электрического тока: на электроде может выделиться вещество большей или меньшей массы.

Электрический ток, как вы знаете, — это направленное движение заряженных частиц. Очевидно, чем больше электрический заряд, перенесённый частицами через поперечное сечение проводника за какое-то определённое время, тем интенсивнее действие тока.

2. Ток в цепи характеризуют значением заряда, проходящего через поперечное сечение проводника за единицу времени, т. е. силой тока.

Силу тока обозначают буквой I.

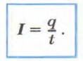
Силой тока I называют физическую величину, равную отношению заряда q, проходящего через поперечное сечение проводника за промежуток времени t, к этому промежутку времени:

    Сила тока

3. Сила тока — физическая величина, она имеет числовое значение и единицу. Введём единицу силы тока.

В 1948 г. на Международной конференции по мерам и весам было решено в основу определения единицы силы тока положить явление взаимодействия двух проводников с током.

Явление взаимодействия двух проводников с током можно наблюдать на опыте (рис. 158). Если по двум параллельным проводникам пропустить ток, то в зависимости от направления тока проводники либо притянутся (рис. 158, а), либо оттолкнутся (рис. 158, б). При этом сила притяжения или отталкивания между проводниками прямо пропорциональна силе тока в них: чем больше сила тока, тем сильнее взаимодействуют проводники. Силу взаимодействия между проводниками можно измерить. Но, как показали опыты, она зависит ещё от длины проводников, расстояния между ними и среды, в которой находятся проводники.

    взаимодействия двух проводников

4. Чтобы ввести единицу силы тока, т. е. определённый точный эталон, необходимо соблюдать очень жёсткие условия опыта. Проводники должны быть тонкими и бесконечно длинными, они должны находиться в вакууме на расстоянии 1 м друг от друга.

За единицу силы тока принимают такую силу тока, при которой отрезки параллельных проводников длиной 1 м, находящиеся на расстоянии 1 м друг от друга, взаимодействуют с силой 2 • 10-7 Н.

Единицу силы тока называют ампером (1 А). Эта единица названа в честь французского физика Андре Ампера (1775—1836).

Продолжение >>>

 

 

???????@Mail.ru