Главная >> Физика 9 класс. Генденштейн. Кайдалов

Материалы для повторения при подготовке к государственной итоговой аттестации

Электромагнитные явления

Электрические взаимодействия

Электрические заряды

Электрические заряды. Электрические взаимодействия обусловлены наличием у тел электрических зарядов. Существуют два рода электрических зарядов: положительные и отрицательные.

Единица заряда — кулон (Кл).

Тела, имеющие заряды разных родов (разноименно заряженные), притягиваются (рис. 7, а), а тела, имеющие заряды одного рода (одноименно заряженные), отталкиваются (рис. 7, б, в).

    Взаимодействие электрических зарядов

Носителями электрического заряда являются заряженные частицы — электроны и ионы (атомы, потерявшие или приобретшие один или несколько электронов). Отрицательный заряд тела обусловлен обычно избытком электронов, а положительный заряд — недостатком электронов.

Закон сохранения электрического заряда

В электрически изолированной системе тел алгебраическая сумма электрических зарядов тел остается неизменной.

Проводники и диэлектрики

Вещества, проводящие электрический заряд, называют проводниками. Проводниками являются все металлы.

Вещества, не проводящие электрический заряд, называют диэлектриками. Диэлектриками являются многие жидкости, пластмассы, газы.

Электрическое поле

Взаимодействие заряженных тел осуществляется посредством электрического поля: каждое заряженное тело создает электрическое поле, которое действует на другие заряженные тела.

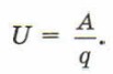
Электрическим напряжением между двумя точками называют отношение работы А, совершаемой электрическим полем при перемещении заряда q из одной точки в другую, к значению этого заряда:

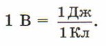
Единица напряжения — вольт (В):

    вольт

Электрический ток

Электрический ток — это направленное движение заряженных частиц. За направление тока принимают направление движения положительно заряженных частиц.

Свободные электроны в металлах движутся в направлении, противоположном направлению тока, потому что электрон имеет отрицательный заряд.

Условия существования электрического тока

1) наличие свободных зарядов;

2) наличие электрического поля.

Действия электрического тока: тепловое, световое, химическое, магнитное.

В источнике тока происходит разделение зарядов, вследствие чего один его полюс заряжается положительно, а другой — отрицательно. В гальванических источниках тока (батареях и аккумуляторах) разделение зарядов обусловлено химическими реакциями.

Основные части электрической цепи: источник тока, потребитель тока, соединительные провода, ключ.

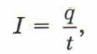
Сила тока

    Сила тока

где q — заряд, перенесенный через поперечное сечение проводника за промежуток времени t.

Единица силы тока — ампер (А).

Соотношение между единицами силы тока и заряда:

    1 Кл = 1 А • 1 с.

Силу тока измеряют амперметром. Амперметр включают последовательно с проводником, в котором измеряют силу тока.

Напряжение на участке цепи измеряют вольтметром. Вольтметр включают параллельно с проводником, на котором измеряют напряжение.

Продолжение >>>

 

 

???????@Mail.ru