Главная >> Физика 9 класс. Генденштейн. Кайдалов

§ 3. Прямолинейное равноускоренное движение

Ускорение

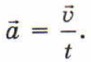
Если начальная скорость тела равна нулю, то при прямолинейном равноускоренном движении модуль скорости тела пропорционален времени движения. Поэтому можно записать

    = t.

Векторную величину в этой формуле называют ускорением. Ускорение показывает, как быстро изменяется скорость тела:

    ускорением

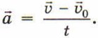
Если тело имеет начальную скорость 0, то при равноускоренном движении зависимость скорости тела от времени имеет вид

Отсюда Поэтому в общем случае

ускорением называют векторную величину, равную отношению изменения скорости тела - 0 к промежутку времени t, за который это изменение произошло:

Единица ускорения

Единицей ускорения в СИ является (читают «метр в секунду за секунду» или «метр на секунду в квадрате»). Если тело движется с таким ускорением без начальной скорости, то скорость тела каждую секунду увеличивается на 1 м/с.

Ускорение свободного падения

С помощью своих опытов Галилей установил, что

при падении тела́ движутся равноускоренно, если можно пренебречь сопротивлением воздуха.

Падение в условиях, когда сопротивлением воздуха можно пренебречь, называют свободным падением. В дальнейшем, рассматривая падение тел, мы будем считать его свободным падением.

Измерения показали, что

при свободном падении модуль ускорения тела равен причем для всех тел ускорение одинаково.

Это удивительное общее свойство падения тел помогло И. Ньютону открыть закон всемирного тяготения (см. § 10. Закон всемирного тяготения).

Ускорение тел при свободном падении называют ускорением свободного падения и обозначают . Для упрощения расчетов часто принимают Мы тоже будем так поступать, не оговаривая этого особо.

Если тело свободно падает из состояния покоя, то зависимость модуля скорости от времени выражается формулой

    υ = gt.

    Чему равна скорость свободно падающего тела через 1 с после начала падения?

    Через какое время после начала падения скорость свободно падающего тела равна скорости автомобиля, движущегося со скоростью 72 км/ч?

 

 

???????@Mail.ru