Главная >> Физика 9 класс. Генденштейн. Кайдалов

§ 4. Путь при прямолинейном равноускоренном движении

Путь при прямолинейном равноускоренном движении: Что мы узнали. Вопросы и задания

Что мы узнали

  • При прямолинейном равноускоренном движении без начальной скорости зависимость пути l от времени движения t выражается формулой где а — модуль ускорения тела. Отсюда следует, что при прямолинейном равноускоренном движении без начальной скорости путь пропорционален квадрату времени движения.
  • Если тело движется прямолинейно равноускоренно с начальной скоростью 0 и ускорением , причем направление ускорения совпадает с направлением начальной скорости, то а если ускорение направлено противоположно начальной скорости, то
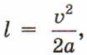
  • При прямолинейном равноускоренном движении без начальнои скорости путь где υ — модуль конечной скорости, а — модуль ускорения.
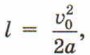
  • Тормозной путь при заданной начальной скорости: если тело движется прямолинейно равноускоренно с уменьшающейся скоростью, то до полной остановки оно пройдет путь где υ0 — модуль начальной скорости, а — модуль ускорения.
  • При прямолинейном равноускоренном движении без начальной скорости средняя скорость тела равна половине конечной скорости. При прямолинейном равноускоренном движении, когда конечная скорость равна нулю, средняя скорость тела равна половине его начальной скорости.

    Вопросы и задания

    Первый уровень

    1. Тело двигалось прямолинейно равноускоренно без начальной скорости. Ускорение тела 5 м/с2. Какой путь тело прошло за 1 с? за 2 с? за вторую секунду?

    2. При прямолинейном равноускоренном движении без начальной скорости тело прошло за первую секунду 3 м. Какой путь пройдет это тело за 2 с? за 3 с?

    3. С какой высоты свободно падало тело, если падение продолжалось 2 с?

    4. Какова конечная скорость тела при падении с высоты 20 м?

    5. Автомобиль тронулся с места и двигался с ускорением 3 м/с2. Чему равна скорость автомобиля через 2 с? Какой путь проедет автомобиль за указанное время?

    6. Чему равен тормозной путь автомобиля, если его начальная скорость 20 м/с, а модуль ускорения при торможении 2 м/с2?

    7. Автомобиль двигался с начальной скоростью 10 м/с. Он начал разгоняться с ускорением 2 м/с2. Какой путь он проехал за 3 с?

    Второй уровень

    8. Докажите, что при прямолинейном равноускоренном движении в одном направлении средняя скорость тела равна полусумме начальной и конечной скорости.

    9. Автомобиль движется равноускоренно на участке дороги длиной 1 км. Начальная скорость автомобиля 40 км/ч, а конечная — 80 км/ч. Сколько времени он ехал на этом участке?

    10. Санки скатились по склону горы длиной 48 м за 16 с. Какова скорость санок в конце спуска? Движение санок можно считать равноускоренным, начальная скорость санок равна нулю.

    11. Автомобиль тормозил в течение 5 с. При этом скорость автомобиля уменьшилась с 30 до 10 м/с. Какой путь проехал автомобиль за время торможения?

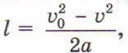
    12. Докажите, что при равноускоренном движении в одном направлении с уменьшающейся скоростью где обозначения физических величин соответствуют обозначениям в тексте параграфа.

    13. Ружейная пуля пробила песчаный вал. При этом скорость пули уменьшилась с 500 до 300 м/с. Движение пули внутри вала можно считать равноускоренным. С каким ускорением двигалась пуля внутри вала, если его толщина 1 м? Сколько времени двигалась пуля внутри вала?

    14. Составьте задачу по теме «Путь при прямолинейном равноускоренном движении», ответ у которой был бы: «125 м».

     

  •  

    ???????@Mail.ru