Главная >> Физика 9 класс. Генденштейн. Кайдалов

Глава 1. Механические явления

Главное в § 1-5

  • Механика изучает движение и взаимодействие тел.
  • Механическим движением называют изменение со временем положения тела в пространстве относительно других тел.
  • Физическую модель тела, размерами которого в данной задаче можно пренебречь, называют материальной точкой.
  • Тело отсчета, связанные с ним система координат и часы образуют систему отсчета.
  • Линию в пространстве, вдоль которой движется тело, называют траекторией движения тела. Длину траектории движения тела называют путем, пройденным телом.
  • Если за любые равные промежутки времени тело проходит равные пути, движение тела называют равномерным.
  • Перемещением тела за данный промежуток времени называют направленный отрезок, соединяющий положение тела в начальный момент этого промежутка времени с положением тела в конечный момент этого промежутка времени. Перемещение является вектором.
  • В предложенной Коперником гелиоцентрической системе мира все планеты, включая Землю, движутся вокруг Солнца.
  • Прямолинейным равномерным движением называют такое движение тела, при котором оно за любые равные промежутки времени совершает равные перемещения.
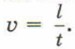
  • Скоростью прямолинейного равномерного движения называют физическую величину, равную отношению перемещения к промежутку времени t, за который произошло это перемещение: Скорость является векторной величиной. В случае прямолинейного равномерного движения
  • Графиком зависимости пути от времени при прямолинейном равномерном движении является отрезок прямой.
  • Площадь фигуры под графиком модуля скорости численно равна пути, пройденному телом.
  • Неравномерным движением называют такое движение, при котором тело проходит за равные промежутки времени разные пути.
  • Средней скоростью неравномерного движения ср за данный промежуток времени t называют физическую величину, равную отношению перемещения к промежутку времени, за который это перемещение произошло:
  • Прямолинейное движение, при котором за любые равные промежутки времени скорость тела изменяется на одну и ту же величину, называют прямолинейным равноускоренным движением.
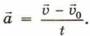
  • Ускорением а называют векторную величину, равную отношению изменения скорости тела - 0 к промежутку времени t, за который это изменение произошло:
  • Если можно пренебречь сопротивлением воздуха, падающее тело движется равноускоренно. Такое падение называют свободным. При свободном падении модуль ускорения тела равен
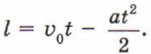
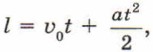
  • Если направление ускорения тела совпадает с направлением начальной скорости тела, то зависимость модуля скорости от времени выражается формулой = 0 + at. Если ускорение тела направлено противоположно начальной скорости тела, то зависимость модуля скорости от времени выражается формулой = 0 - at.
  • При прямолинейном равноускоренном движении графиком зависимости модуля скорости от времени является отрезок прямой.
  • Если тело движется прямолинейно равноускоренно с начальной скоростью 0 и ускорением , причем направление ускорения совпадает с направлением начальной скорости, то а если ускорение направлено противоположно начальной скорости, то
  • При равномерном движении тела по окружности модуль скорости остается неизменным, а направление скорости изменяется: в любой точке траектории скорость направлена по касательной к окружности в этой точке.
  • Промежуток времени, в течение которого тело, равномерно движущееся по окружности, совершает один полный оборот, называют периодом обращения и обозначают Т. Число полных оборотов за одну секунду называют частотой обращения и обозначают ν. Период и частота являются взаимно обратными величинами:
  • При равномерном движении по окружности модуль скорости тела υ, радиус окружности R и период обращения Т связаны соотношением
  • При равномерном движении по окружности ускорение тела направлено по радиусу к центру окружности. Модуль ускорения где υ — модуль скорости тела, R — радиус окружности, по которой движется тело.

     

  •  

    ???????@Mail.ru