Главная >> Физика 9 класс. Генденштейн. Кайдалов

§ 8. Второй закон Ньютона

Второй закон Ньютона: Что мы узнали. Вопросы и задания

Что мы узнали

  • Масса является мерой инертности тела.
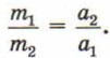
  • Отношение масс двух тел обратно отношению ускорений этих тел при их взаимодействии:
  • Второй закон Ньютона: равнодействующая всех сил, приложенных к телу, равна произведению массы тела на его ускорение: = m.
  • Сила тяжести Т = m, где m — масса тела. Благодаря тому, что сила тяжести пропорциональна массе тела, массу можно измерять с помощью взвешивания.
  • Скорость тела может быть направлена под любым углом к действующей на тело силе. Если скорость тела направлена так же, как сила, тело движется прямолинейно и его скорость увеличивается; если скорость направлена противоположно силе, тело движется прямолинейно и его скорость уменьшается; если скорость направлена под углом к силе, тело движется криволинейно.

    Вопросы и задания

    Первый уровень

    1. Что такое масса тела?

    2. При взаимодействии двух тел первое тело приобретает ускорение 1 м/с2, а второе — 5 м/с2. Масса какого тела больше и во сколько раз?

    3. Сформулируйте второй закон Ньютона.

    4. Под действием силы 6 Н тело приобретает ускорение 2 м/с2. Какова масса тела?

    5. Чему равна сила тяжести для тела массой 5 кг?

    6. В каких системах отсчета справедлив второй закон Ньютона?

    7. Приведите пример, когда направление скорости тела совпадает с направлением действующей на него силы.

    8. Приведите пример, когда направление скорости тела противоположно направлению действующей на него силы.

    9. Приведите пример, когда направление скорости тела перпендикулярно направлению действующей на него силы.

    Второй уровень

    10. Тело массой 5 кг, двигаясь прямолинейно равноускоренно, за 5 с прошло 25 м. Чему равен модуль равнодействующей сил, действующих на это тело? Начальная скорость тела равна нулю.

    11. Тормозной путь автомобиля, двигавшегося со скоростью 108 км/ч, равен 90 м. Чему равна сила трения, если масса автомобиля 1 т?

    12. Мяч брошен вертикально вверх. Когда модуль ускорения мяча больше — при подъеме или при спуске? Учтите, что сила сопротивления воздуха направлена противоположно скорости тела.

    13. Мяч бросили вертикально вверх. В какой точке траектории ускорение мяча точно равно ускорению свободного падения? При решении учтите силу сопротивления при движении в воздухе.

    14. На тело массой 10 кг действуют две силы, направленные вдоль одной прямой. Тело движется с ускорением 2 м/с2. Модуль одной силы равен 50 Н. Чему равен модуль другой силы?

    15. На тело массой 100 кг действуют две силы, направленные под прямым углом друг к другу. Модуль одной силы 300 Н, а модуль другой силы 400 Н. С каким ускорением движется тело?

    16. Составьте задачу по теме «Второй закон Ньютона», ответ у которой был бы: «Равнодействующая равна 100 Н».

     

  •  

    ???????@Mail.ru