Главная >> Физика 9 класс. Генденштейн. Кайдалов

§ 13. Механическая работа. Мощность

Мощность

Для характеристики двигателя важна не только работа, но и «быстрота» совершения работы.

Например, подъемный кран поднимает платформу с сотнями кирпичей на высоту многоэтажного дома за 1—2 мин. А человеку, для того чтобы поднять эти же кирпичи на ту же высоту, понадобилось бы несколько дней. Говорят, что мощность подъемного крана во много раз больше мощности человека.

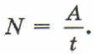
Мощностью N называют физическую величину, равную отношению совершенной работы А к промежутку времени t, за который эта работа совершена:

    Мощность

Единица мощности — ватт (Вт) названа в честь английского изобретателя Джеймса Уатта. 1 Вт — это такая мощность, при которой работа в 1 Дж совершается за 1 с:

    ватт

Часто используют и кратные единицы мощности: киловатт (1 кВт = 103 Вт) и мегаватт (1 МВт = 106 Вт).

Чтобы получить «ощутимое» представление о единице мощности, рассмотрим пример.

РЕШИМ ЗАДАЧУ

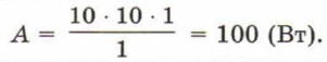
Человек равномерно поднимает за 1 с полное ведро воды массой 10 кг на высоту 1 м. Какую мощность он при этом развивает?

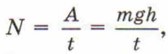
Р е ш е н и е. Совершаемая человеком работа А = mgh, где m — масса ведра, h — высота подъема. Следовательно,

    Совершаемая человеком работа

где t — время подъема. Проверив единицы величин и подставив числовые данные, получим


На этом примере мы видим, что человек может развивать мощность в сотни ватт. Сравним мощность человека с мощностью созданных им двигателей.

Подумайте только: мощность двигателя космической ракеты превышает мощность человека в миллиард раз!

Мощность, сила и скорость

Мощность, развиваемую транспортным средством, часто выражают через силу и скорость. Если направление силы тяги совпадает с направлением перемещения, то развиваемая двигателем мощность

Таким образом, мощность равна произведению модуля силы на модуль скорости.

Формула N = Fυ объясняет, почему водитель производит переключение на первую скорость, когда автомобиль едет вверх по склону. Чтобы увеличить силу тяги при той же мощности мотора, надо уменьшить скорость движения.

 

 

???????@Mail.ru