Главная >> Физика 9 класс. Генденштейн. Кайдалов

§ 14. Энергия

Механическая энергия

До сих пор мы говорили о работе силы. Поскольку любая сила действует со стороны некоторого тела, работу силы часто называют работой тела, со стороны которого приложена сила.

Например, когда говорят о работе, совершаемой деформированной пружиной при уменьшении деформации, то имеют в виду работу, которую совершает сила упругости, действующая со стороны пружины.

Движущееся тело тоже может совершить работу. Например, если движущаяся по столу тележка наезжает на пружину и деформирует ее, то работу по сжатию пружины совершает сила, действующая со стороны тележки. При этом скорость тележки уменьшается.

Потенциальная энергия

Поднятое над Землей тело совершает работу, когда оно движется вниз. Вспомните, например, какую большую работу совершает поднятая плотиной вода, когда она падает на лопасти турбин на гидроэлектростанции. При этом изменяется взаимное положение действующих друг на друга тела и Земли.

Когда работу совершает деформированная пружина, изменяется взаимное положение действующих друг на друга частиц, из которых состоит пружина.

Физическую величину, характеризующую способность системы взаимодействующих тел (частей тела) совершить работу вследствие изменения их взаимного положения, называют потенциальной энергией.

Рассмотрим примеры.

Потенциальная энергия поднятого груза

В предыдущем параграфе мы показали, что когда груз массой т опускается с высоты h, сила тяжести совершает работу А = mgh. Значит, если нулевому значению потенциальной энергии сопоставить положение груза на поверхности Земли, то

потенциальная энергия поднятого груза Ер = mgh.

    Какова потенциальная энергия груза массой 10 кг, поднятого на высоту 20 м?

Потенциальная энергия деформированной пружины

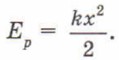
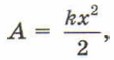
В предыдущем параграфе мы показали, что когда деформация пружины уменьшается от начального значения х до нуля, сила упругости совершает работу

где k — жесткость пружины. Следовательно,

потенциальная энергия деформированной пружины

    Во сколько раз увеличится потенциальная энергия пружины, если деформацию пружины увеличить в 3 раза?

Окончание >>>

 

 

???????@Mail.ru