Главная >> Физика 9 класс. Генденштейн. Кайдалов

§ 14. Энергия

Когда механическая энергия сохраняется

Как мы видели, при падении тела его кинетическая энергия увеличивается, а потенциальная — уменьшается. Докажем, что при свободном падении сумма этих энергий остается постоянной.

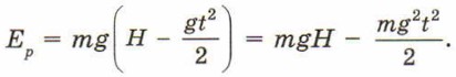
Пусть тело массой т падает с высоты Н. Начальная потенциальная энергия тела равна mgH, а начальная кинетическая энергия равна нулю. Следовательно, полная начальная механическая энергия тела (равная сумме потенциальной и кинетической энергии) Енач = mgH.

Найдем кинетическую и потенциальную энергии падающего тела через промежуток времени t.

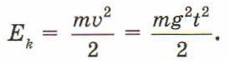
При свободном падении скорость υ = gt, поэтому кинетическая энергия

За время t тело пролетело путь, равный поэтому потенциальная энергия тела стала равной

Следовательно, в момент времени t механическая энергия

Итак, мы видим, что в процессе падения механическая энергия свободно падающего тела остается равной начальной механической энергии, то есть остается постоянной (сохраняется).

Этот и другие многочисленные примеры показывают, что

если можно пренебречь трением, то есть если между телами системы действуют только силы тяготения и силы упругости, механическая энергия замкнутой системы тел сохраняется.

Это утверждение называют законом сохранения механической энергии.

Заметим, что при неупругих столкновениях механическая энергия не сохраняется. Например, если две тележки с одинаковой массой, движущиеся навстречу друг другу с одинаковой по модулю скоростью, сталкиваются, то после неупругого столкновения они остановятся. При этом их кинетическая энергия станет равной нулю, хотя начальная кинетическая энергия не была равна нулю.

 

 

???????@Mail.ru