Главная >> Физика 9 класс. Генденштейн. Кайдалов

§ 16. Механические волны

Основные характеристики волн

Если волна создается колеблющимся в среде телом, то при распространении волны каждая точка среды совершает колебания с одной и той же частотой.

Частоту ν колебаний каждой точки среды называют частотой волны. Она равна частоте колебаний тела — источника волн.

Величину Т, обратную частоте, называют периодом волны:

    период волны

Это период колебаний каждой точки среды. Он совпадает с периодом колебаний тела — источника волн.

Амплитуду колебаний частиц среды, то есть модуль наибольшего смещения частиц среды от положения равновесия, называют амплитудой волны.

Максимумы волны называют гребнями волны, а

расстояние между соседними гребнями называют длиной волны λ.

Форма волны характеризуется длиной и амплитудой волны.

На рис. 16.3, а схематически изображены две волны с одинаковой амплитудой, но разными длинами волн, а на рис. 16.3, б — две волны с разными амплитудами, но одинаковой длиной волны.

    Волны с амплитудой

    Рис. 16.3. Волны с одинаковой амплитудой, но разной длиной волны (а); волны с одинаковой длиной волны, но разной амплитудой (б)

Во сколько раз отличаются длины волн, представленных на рис. 16.3, а? Г амплитуды волнна рис. 16.3, 6?

Скорость, с которой перемещаются гребни волн, называют скоростью волны υ.

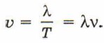
Найдем соотношение между скоростью, длиной и частотой волны.

Через промежуток времени, равный периоду Т, каждая точка среды, в которой распространяется волна, вернется в прежнее положение, совершив одно полное колебание, а волна сместится в пространстве вдоль направления своего распространения на расстояние, равное длине волны λ. Следовательно, скорость волны

    скорость волны

Чему равна скорость волны, если ее длина 10 см, а частота 10 Гц?

При распространении волн частицы среды колеблются около положений равновесия. Поэтому волны не переносят вещество.

Однако волны переносят энергию, потому что при распространении волны частицы среды начинают колебаться, а колеблющиеся частицы обладают энергией.

 

 

???????@Mail.ru