Главная >> Физика 9 класс. Перышкин. Онлайн учебник

Глава 1. Законы взаимодействия и движения тел

§ 22. Вывод закона сохранения механической энергии

Из курса физики 8 класса вы знаете, что сумма потенциальной (mgh) и кинетической энергии тела или системы тел называется полной механической (или механической) энергией.

Вам известен также закон сохранения механической энергии:

  • механическая энергия замкнутой системы тел остаётся постоянной, если между телами системы действуют только силы тяготения и силы упругости и отсутствуют силы трения.

Потенциальная и кинетическая энергия системы могут меняться, преобразуясь друг в друга. При уменьшении энергии одного вида на столько же увеличивается энергия другого вида, благодаря чему их сумма остаётся неизменной.

Свободное падение шарика на землю с некоторой высоты

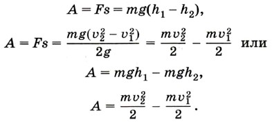
Подтвердим справедливость закона сохранения энергии теоретическим выводом. Для этого рассмотрим такой пример. Маленький стальной шарик массой m свободно падает на землю с некоторой высоты. На высоте h1 (рис. 51) шарик имеет скорость 1, а при снижении до высоты h2 его скорость возрастает до значения 2.

Работа действующей на шарик силы тяжести может быть выражена и через уменьшение потенциальной энергии гравитационного взаимодействия шарика с Землёй (Eп), и через увеличение кинетической энергии шарика (Ек):

увеличение кинетической энергии шарика

Поскольку левые части уравнений равны, то равны и их правые части:

Поскольку левые части уравнений равны, то равны и их правые части

Из этого уравнения следует, что при движении шарика его потенциальная и кинетическая энергия менялась. При этом кинетическая энергия возросла на столько же, на сколько уменьшилась потенциальная.

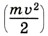
После перестановки членов в последнем уравнении получим:

После перестановки членов в последнем уравнении получим

Уравнение, записанное в таком виде, свидетельствует о том, что полная механическая энергия шарика при его движении остаётся постоянной.

Оно может быть записано и так:

что полная механическая энергия шарика при его движении остаётся постоянной

Уравнения (1) и (2) представляют собой математическую запись закона сохранения механической энергии.

Таким образом, мы теоретически доказали, что полная механическая энергия тела (точнее, замкнутой системы тел шарик—Земля) сохраняется, т. е. не меняется с течением времени.

Рассмотрим применение закона сохранения механической энергии для решения задач.

П р и м е р 1. Яблоко массой 200 г падает с дерева с высоты 3 м. Какой кинетической энергией оно будет обладать на высоте 1 м от земли?

Яблоко массой 200 г падает с дерева с высоты 3 м

П р и м е р 2. Мяч бросают вниз с высоты h1 = 1,8 м со скоростью 1 = 8 м/с. На какую высоту h2 отскочит мяч после удара о землю? (Потери энергии при движении мяча и его ударе о землю не учитывайте.)

На какую высоту отскочит мяч после удара о землю?

Вопросы

1.Что называется механической (полной механической) энергией?
2. Сформулируйте закон сохранения механической энергии. Запишите его в виде уравнений.
3.Может ли меняться с течением времени потенциальная или кинетическая энергия замкнутой системы?

Упражнение 22

1. Решите рассмотренную в параграфе задачу из примера 2 без использования закона сохранения механической энергии.

2. Оторвавшаяся от крыши сосулька падает с высоты h0 = 36 м от земли. Какую скорость она будет иметь на высоте h = 31 м? (Принять g = 10 м/с2.)

3. Шарик вылетает из детского пружинного пистолета вертикально вверх с начальной скоростью 0 = 5 м/с. На какую высоту от места вылета он поднимется? (Принять g = 10 м/с2.)

Задание

Придумайте и проведите простой опыт, наглядно демонстрирующий, что тело движется криволинейно, если скорость движения этого тела и действующая на него сила направлены вдоль пересекающихся прямых. Опишите используемое оборудование, ваши действия и наблюдаемые результаты.

 

 

???????@Mail.ru