Главная >> Физика 9 класс. Перышкин. Онлайн учебник

Глава 2. Механические колебания и волны. Звук

§ 25. Гармонические колебания

В природе и технике широко распространены колебания, называемые гармоническими.

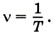
Опыт по исследованию зависимости от времени координаты пружинного маятника, совершающего колебания

Гармоническими являются колебания, которые происходят под действием силы, пропорциональной смещению колеблющейся точки и направленной противоположно этому смещению.

Вы уже знаете, что под действием такой силы происходят колебания пружинного маятника, поэтому при определённых условиях они могут служить примером гармонических колебаний (в частности, при условии, что на них не оказывает заметного влияния сила трения).

С помощью опыта, изображённого на рисунке 63, выясним, по какому закону меняется с течением времени координата колеблющегося пружинного маятника и как выглядит график этой зависимости.

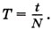
График зависимости координаты колеблющегося пружинного маятника от времени

В данном опыте в качестве груза берут какой-нибудь небольшой массивный сосуд с маленьким отверстием снизу (например, воронку), а под него кладут длинную бумажную ленту. Сосуд с предварительно насыпанным в него песком (или налитой красящей жидкостью) приводят в колебательное движение. Если ленту перемещать с постоянной скоростью в направлении, перпендикулярном плоскости колебаний, то на ней останется волнообразная дорожка из песка, каждая точка которой соответствует положению колеблющегося груза в тот момент, когда он проходил над ней.

На рисунке 64 показан вид полученной кривой. Она называется косинусоидой (из курса математики старших классов вы узнаете о том, что аналогичные графики имеют функции типа у = sin х и у = cos х при переменной х:). Через точки, соответствующие положению равновесия маятника, проведена ось времени t, а перпендикулярно ей — ось смещения х.

Из графика видно, что наибольшие отклонения груза от положения равновесия в обе стороны одинаковы по модулю и равны амплитуде колебаний А.

Маятник начал движение из крайней точки с координатой х = А. За время, равное периоду Т, маятник совершил полное колебание, т. е., миновав положение равновесия, дошёл до противоположной крайней точки с координатой х = -А, на мгновение задержался в ней, изменив направление скорости на противоположное, затем пошёл в обратном направлении и, вторично пройдя через положение равновесия, вернулся в то же самое место, откуда начал движение. Затем начинается следующее колебание и т. д.

Если в ходе опыта был измерен промежуток времени t, за который маятник совершил показанные на графике колебания, то можно определить их период Т, разделив это время на число колебаний: Зная период, можно найти частоту колебаний:

График даёт возможность приблизительно определить координату груза в любой момент времени. Например, через ⅓ T от момента начала первого колебания груз находился в точке с координатой x1.

Если график зависимости координаты от времени какого-нибудь тела представляет собой синусоиду (косинусоиду), т. е. если координата меняется со временем по закону синуса (косинуса), то в этом случае говорят, что и координата, и само тело совершают гармонические колебания.

  • Периодические изменения во времени физической величины, происходящие по закону синуса или косинуса, называются гармоническими колебаниями.

Гармонические колебания нитяного маятника

На рисунке 65 изображён опыт, аналогичный рассмотренному выше, только для нитяного маятника. С помощью этого опыта можно показать, что и для нитяного маятника график зависимости координаты от времени тоже представляет собой синусоиду, т. е. что его колебания являются гармоническими.

Теоретически колебания нитяного маятника были бы строго гармоническими в том случае, если бы он представлял собой материальную точку, колеблющуюся без трения с малой амплитудой1 при не меняющемся со временем расстоянии от неё до точки подвеса. (Можно доказать, что только при этих условиях сила, возвращающая точку в положение равновесия, будет прямо пропорциональна смещению, вследствие чего колебания будут происходить по гармоническому закону, т. е. по закону изменения синуса или косинуса.)

    1 Напомним, что под малой подразумевается такая амплитуда, при которой траекторию движения маятника можно считать прямолинейной. Числовое значение амплитуды, удовлетворяющее этому условию, зависит от точности результата, требуемой в решаемой задаче. В большинстве практических задач малой можно считать амплитуду, если угол отклонения не превышает 8°.

  • Материальная точка, колеблющаяся на не меняющемся со временем расстоянии от точки подвеса, называется математическим маятником.

Математический маятник — это абстрактная модель, реально таких маятников не бывает.

Динамика колебаний математического маятника

Практически колебания, близкие к гармоническим, совершает тяжёлый шарик (например, стальной), подвешенный на лёгкой и малорастяжимой нити, длина которой значительно больше диаметра этого шарика, при малой амплитуде и малом трении.

При совершении телом гармонических колебаний не только его координата, но и такие величины, как сила, ускорение, скорость, тоже изменяются по закону синуса или косинуса. Это следует из известных вам законов и формул, в которых указанные величины попарно связаны прямо пропорциональной зависимостью, например Fx = -kx (закон Гука), (второй закон Ньютона). Из этих формул следует, что сила и ускорение достигают наибольших значений, когда колеблющееся тело находится в крайних положениях, где смещение наиболее велико, и равны нулю, когда тело проходит через положение равновесия. Значит, колебательное движение вблизи среднего положения тела наиболее близко к равномерному, а вблизи крайних положений сильно отличается от равномерного движения.

Скорость же, наоборот, в крайних положениях равна нулю, а при прохождении телом положения равновесия достигает наибольшего значения.

Вопросы

1. По рисунку 63 расскажите о цели, порядке выполнения и результатах изображённого опыта.
2. Чему соответствуют отрезки ОА и ОТ на графике (см. рис. 64)?
3. Какие колебания называются гармоническими?
4. Что можно показать с помощью опыта, изображённого на рисунке 65?
5. Что называется математическим маятником?
6. При каких условиях реальный нитяной маятник будет совершать колебания, близкие к гармоническим?
7. Как меняются действующая на тело сила, его ускорение и скорость при совершении им гармонических колебаний?

 

 

???????@Mail.ru