Главная >> Физика 9 класс. Перышкин. Онлайн учебник

Глава 2. Механические колебания и волны. Звук

§ 30. Источники звука. Звуковые колебания

Пример источника звука

Полученные знания о колебаниях и волнах позволяют нам перейти к рассмотрению звуковых явлений.

Мир окружающих нас звуков разнообразен — голоса людей и музыка, пение птиц и жужжание пчёл, гром во время грозы и шум леса на ветру, звук проезжающих автомобилей, самолётов и т. д. Источниками звука являются колеблющиеся тела. В этом можно убедиться на простых опытах. Рассмотрим их.

На рисунке 74 изображена укреплённая в тисках упругая металлическая линейка. Если её свободную часть, длина которой подобрана определённым образом, привести в колебательное движение (крайние положения колеблющейся линейки показаны штриховыми линиями), то линейка будет издавать звук. В данном случае колебания источника звука очевидны.

Звучащая струна, концы которой закреплены, совершает колебания

Теперь обратимся к рисунку 75. На нём изображена звучащая струна, концы которой закреплены. Размытые очертания этой струны и кажущееся утолщение в середине свидетельствуют о том, что струна колеблется. Если к звучащей струне приблизить конец бумажной полоски, то полоска будет подпрыгивать от толчков струны. Пока струна колеблется, слышен звук; остановим струну, и звук прекращается.

Прибор, изображённый на рисунке 76, называется камертоном. Он представляет собой изогнутый металлический стержень на ножке. В данном случае камертон укреплён на резонаторном ящике (о назначении которого вы узнаете из § 40).

Если по камертону ударить мягким молоточком или провести по нему смычком, то камертон зазвучит. Поднесём к звучащему камертону лёгкий шарик (стеклянную бусинку), подвешенный на нитке, — шарик будет отскакивать от камертона, свидетельствуя о колебаниях его ветвей.

Обнаружение колебаний ветвей звучащего камертона

Дельфины излучают и используют ультразвук для общения друг с другом, предупреждения сородичей об опасности, обнаружении косяков рыбы

На рисунке 77 показано, как можно «записать» колебания камертона с малой (порядка 16 Гц) собственной частотой и большой амплитудой колебаний. К концу одной ветви камертона привинчена тонкая и узкая металлическая полоска, оканчивающаяся остриём. Остриё загнуто вниз и слегка касается лежащей на столе закопчённой стеклянной пластинки. При быстром перемещении пластинки под колеблющимися ветвями остриё оставляет на ней след в виде волнообразной линии.

Волнообразная линия, прочерченная на пластинке остриём, очень близка к синусоиде. Таким образом, можно считать, что каждая ветвь звучащего камертона совершает гармонические колебания.

Различные опыты свидетельствуют о том, что любой источник звука обязательно колеблется (хотя чаще всего эти колебания незаметны для глаза). Например, звуки голосов людей и многих животных возникают в результате колебаний их голосовых связок, звучание духовых музыкальных инструментов, звук сирены, свист ветра, шелест листьев, раскаты грома обусловлены колебаниями масс воздуха.

Но далеко не всякое колеблющееся тело является источником звука. Например, не издаёт звука колеблющийся грузик, подвешенный на нити или пружине. Перестанет звучать и металлическая линейка, изображённая на рисунке 74, если переместить её в тисках вверх и тем самым удлинить свободный конец настолько, чтобы частота его колебаний стала меньше 16 Гц.

Исследования показали, что человеческое ухо способно воспринимать как звук механические колебания с частотой в пределах от 16 до 20 000 Гц (передающиеся обычно через воздух). Поэтому колебания этого диапазона частот называются звуковыми.

Использование ультразвуковых колебаний для измерения глубины моря

Следует отметить, что указанные границы звукового диапазона условны, так как зависят от возраста людей и индивидуальных особенностей их слухового аппарата. Обычно с возрастом верхняя частотная граница воспринимаемых звуков значительно понижается — некоторые пожилые люди могут слышать звуки с частотами, не превышающими 6000 Гц. Дети же, наоборот, могут воспринимать звуки, частота которых несколько больше 20 000 Гц.

Механические колебания, частота которых превышает 20 000 Гц, называются ультразвуковыми, а колебания с частотами менее 16 Гц — инфразвуновыми.

Ультразвук и инфразвук распространены в природе так же широко, как и волны звукового диапазона. Их излучают и используют для своих «переговоров» дельфины, летучие мыши и некоторые другие живые существа.

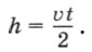
Ультразвук находит широкое применение в технике. Например, направленные узкие пучки ультразвука применяются для измерения глубины моря (рис. 78). Для этой цели на дне судна помещают излучатель и приёмник ультразвука. Излучатель даёт короткие сигналы, которые доходят до дна и, отражаясь от него, достигают приёмника. Моменты излучения и приёма сигнала регистрируются. Таким образом, за время t, которое проходит с момента отправления сигнала до момента его приёма, сигнал, распространяющийся со скоростью и, проходит путь, равный удвоенной глубине моря, т. е. 2h:

2h = t.

Отсюда легко вычислить глубину моря:

легко вычислить глубину моря:

Описанный метод определения расстояния до объекта называется эхолокацией.

Вопросы

1. Расскажите о ходе опытов, изображённых на рисунках 74—77. Какой вывод из них следует?
2. Что является источниками звука?
3. Механические колебания каких частот называются звуковыми и почему?
4. Какие колебания называются ультразвуковыми; инфразвуковыми?
5. Расскажите об измерении глубины моря методом эхолокации.

Упражнение 28

Звук от взмахов крыльев летящего комара мы слышим, а летящей птицы — нет. Почему?

 

 

???????@Mail.ru