Главная >> Физика 9 класс. Перышкин. Онлайн учебник

Глава 3. Электромагнитное поле

Итоги главы: Электромагнитное поле

Самое главное

Ниже даны физические понятия, явления, правило, закон, постулаты и их определения и формулировки. Последовательность изложения определений не соответствует последовательности понятий.

Перенесите в тетрадь названия понятий и законов и впишите в квадратные скобки порядковый номер определения (формулировки), соответствующего данному понятию, явлению, постулату, правилу, закону.

  • Переменный ток [ ];
  • электромагнитная волна [ ];
  • радиосвязь [ ];
  • дисперсия света [ ];
  • явление электромагнитной индукции [ ];
  • правило Ленца [ ];
  • явление самоиндукции [ ];
  • закон преломления света [ ];
  • квантовые постулаты Бора [ ];
  • типы оптических спектров [ ].

1. Возникающий в замкнутом контуре индукционный ток своим магнитным полем противодействует изменению магнитного потока, которое вызвало этот ток.

2. Отношение синуса угла падения к синусу угла преломления есть величина постоянная для данных двух сред, равная отношению скоростеи света в этих средах:

3. Возникновение индукционного тока в катушке при изменении силы тока в ней.

4. Атом может находиться только в особых, стационарных состояниях. Каждому состоянию соответствует определённое значение энергии — энергетический уровень. Находясь в стационарном состоянии, атом не излучает и не поглощает.

Излучение света происходит при переходе атома из стационарного состояния с большей энергией Ек в стационарное состояние с меньшей энергией Еn.

5. Электрический ток, периодически меняющийся по модулю и направлению.

6. Система порождающих друг друга и распространяющихся в пространстве переменных электрического и магнитного полей.

7. При всяком изменении магнитного потока, пронизывающего площадь, ограниченную замкнутым проводником, в этом проводнике возникает электрический ток, существующий в течение всего процесса изменения магнитного потока.

8. Передача и приём информации посредством электромагнитных волн.

9. Зависимость показателя преломления вещества и скорости света в нём от частоты световой волны.

10. Сплошной (непрерывный) характерен для жидких и твёрдых излучающих тел с температурой порядка нескольких тысяч градусов и для светящихся газов и паров, находящихся под очень большим давлением; линейчатый характерен для светящихся газов малой плотности при температуре порядка 2000 °С.

Проверь себя

1. В данной системе отсчёта магнитное поле создаётся движущимися в ней

    A. фотонами
    Б. электронами
    B. атомами
    Г. нейтронами

2. Магнитное поле обнаруживается по его действию на

    A. покоящиеся в нём протоны
    Б. покоящиеся в нём нейтроны
    B. покоящиеся в нём ионы
    Г. проводник с протекающим по нему электрическим током

3. Магнитное поле характеризуется векторной физической величиной, которая обозначается символом и называется

    A. магнитной индуктивностью
    Б. магнитной индукцией
    B. электромагнитной индукцией
    Г. самоиндукцией

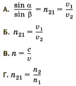
4. Закону преломления света соответствует формула

 

 

???????@Mail.ru