Главная >> Физика 9 класс. Перышкин. Онлайн учебник

Глава 1. Законы взаимодействия и движения тел

§ 6. Скорость прямолинейного равноускоренного движения. График скорости

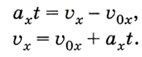
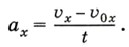
Вам известно, что при прямолинейном равноускоренном движении проекцию вектора ускорения на ось X можно найти по формуле:

ускорения на ось X можно найти по формуле

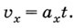
Выразим из этой формулы проекцию x вектора скорости которую имело движущееся тело к концу промежутка времени t, отсчитываемого от момента начала наблюдения, т. е. от t0 = 0:

формула проекцию

Если в начальный момент тело покоилось, т. е. 0 = 0, то для этого случая последняя формула принимает вид:

зависимость проекции вектора скорости от времени при равноускоренном движении в виде графика.

Представим зависимость проекции вектора скорости от времени при равноускоренном движении в виде графика.

Из курса математики вам известна линейная функция у = kx + b, где х — аргумент, k — постоянный коэффициент, b — свободный член. Графиком этой функции является прямая.

Функция х = + axt (или, что то же самое, x = axt + 0x) тоже линейная с аргументом t, постоянным коэффициентом ах и свободным членом 0x. Значит, графиком этой функции тоже должна быть прямая. Расположение этой линии по отношению к осям координат определяется значениями ах и .

График функции

Построим, например, график зависимости от времени проекции вектора скорости разгоняющегося перед взлётом самолёта, который движется из состояния покоя прямолинейно с ускорением 1,5 м/с2 в течение 40 с.

Сонаправим ось X со скоростью движения самолёта. Тогда проекции векторов скорости и ускорения будут положительны.

Для построения заданной прямой достаточно знать координаты (т. е. t и х) двух любых её точек. Задав два произвольных значения t, по формуле x = axt можно определить соответствующие значения х.

Например, при t0 = 0 0x = 0; при t = 40 с x = 1,5 м/с2 • 40 с = 60 м/с. По координатам первой из найденных точек видно, что график зависимости скорости от времени пройдёт через начало координат (рис. 10).

Теперь построим аналогичный график для случая, когда начальная скорость не равна нулю (при том, что модуль скорости, как и в предыдущем примере, возрастает). Для этого воспользуемся таким примером.

По дороге едет автомобиль со скоростью 10 м/с (36 км/ч). Водитель автомобиля, увидев дорожный знак, снимающий ограничение скорости, нажал на педаль газа, в результате чего автомобиль стал двигаться с постоянным ускорением 1,4 м/с2. Построим график зависимости от времени проекции вектора мгновенной скорости на ось X, сонаправленную со скоростью прямолинейно движущегося автомобиля, для первых четырёх секунд разгона.

График функции

В этом случае зависимость x (t) описывается формулой x = + axt. Найдём по этой формуле координаты двух произвольных точек графика. Например, при t0 = 0 0x = 10 м/с; при t = 3 с х = 10 м/с + 1,4 м/с2 • 3 с = 14,2 м/с.

График, построенный по этим точкам, представлен на рисунке 11. Он отсекает на оси x отрезок, равный проекции вектора начальной скорости.

Построим теперь график зависимости проекции вектора скорости от времени, если начальная скорость не равна нулю, а модуль вектора скорости уменьшается с течением времени.

График функции

Допустим, водитель автомобиля, движущегося со скоростью 20 м/с (72 км/ч), нажимает на педаль тормоза. В результате автомобиль движется с ускорением 2 м/с2 и через 10 с останавливается.

За начало отсчёта времени примем момент начала торможения, когда скорость автомобиля ещё была равна 20 м/с.

В этом случае нет необходимости рассчитывать значение проекции вектора скорости, поскольку координаты двух точек графика очевидны: при t0 = 0 = 20 м/с; при t = 10 с x = 0. Соответствующий график представлен на рисунке 12.

Поскольку скорость уменьшается по модулю, то график образует с положительным направлением оси t тупой угол.

Вопросы

1. Запишите формулу, по которой можно рассчитать проекцию вектора мгновенной скорости прямолинейного равноускоренного движения, если известны: а) проекция вектора начальной скорости и проекция вектора ускорения; б) проекция вектора ускорения при том, что начальная скорость равна нулю.
2. Что представляет собой график проекции вектора скорости равноускоренного движения при начальной скорости: а) равной нулю; б) не равной нулю?
3. Чем сходны и чем отличаются друг от друга движения, графики которых представлены на рисунках 11 и 12?

Упражнение 6

1. Хоккеист слегка ударил клюшкой по шайбе, придав ей скорость 2 м/с. Чему будет равна скорость шайбы через 4 с после удара, если в результате трения о лёд она движется с ускорением 0,25 м/с2?

2. Лыжник съезжает с горы из состояния покоя с ускорением, равным 0,2 м/с2. Через какой промежуток времени его скорость возрастёт до 2 м/с?

3. В одних и тех же координатных осях постройте графики проекции вектора скорости (на ось X, сонаправленную с вектором начальной скорости) при прямолинейном равноускоренном движении для случаев: a) 0x = 1 м/с, ах = 0,5 м/с2; б) 0x = 1 м/с, ах = 1 м/с2; в) 0x = 2 м/с, ах = 1 м/с2.
Масштаб: 1 см — 1 м/с; 1см — 1с.

4. В одних и тех же координатных осях постройте графики проекции вектора скорости (на ось X, сонаправленную с вектором начальной скорости) при прямолинейном равноускоренном движении для случаев: а) 0x = 4,5 м/с, ах = -1,5 м/с2; б) 0x = 3 м/с, ах = -1 м/с2.

5. На рисунке 13 представлены графики зависимости модуля вектора скорости от времени при прямо- линейном движении двух тел. С каким по модулю ускорением движется тело I; тело II?

 

 

???????@Mail.ru