Главная >> Физика 9 класс. Перышкин. Онлайн учебник

Глава 1. Законы взаимодействия и движения тел

§ 8. Перемещение тела при прямолинейном равноускоренном движении без начальной скорости

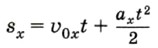
Рассмотрим, как рассчитывается проекция вектора перемещения тела, движущегося равноускоренно, если его начальная скорость 0 равна нулю. В этом случае уравнение

уравнение проекции вектора перемещения тела

будет выглядеть так:

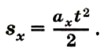
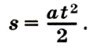
Перепишем это уравнение, подставив в него вместо проекций sx и ах модули s и а векторов перемещения и ускорения. Поскольку в данном случае векторы и направлены в одну сторону, их проекции имеют одинаковые знаки. Поэтому уравнение для модулей векторов можно записать:

уравнение для модулей векторов можно записать

Из этой формулы следует, что при прямолинейном равноускоренном движении без начальной скорости модуль вектора перемещения прямо пропорционален квадрату промежутка времени, в течение которого это перемещение было совершено. Это означает, что при увеличении в n раз времени движения (отсчитываемого от момента начала движения) перемещение увеличивается в n2 раз.

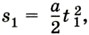
Например, если за произвольный промежуток времени t1 от начала движения тело совершило перемещение то за промежуток времени t2 = 2t1 (отсчитываемый от того же момента, что и t1) оно совершит перемещение за промежуток времени t3 = 3t1 — перемещение за промежуток времени tn = nt1 — перемещение sn = n2s1 (где n — натуральное число).

Эта зависимость модуля вектора перемещения от времени при прямолинейном равноускоренном движении без начальной скорости наглядно отражена на рисунке 15, где отрезки ОА, ОВ, ОС, OD и ОЕ представляют собой модули векторов перемещений (s1, s2, s3, s4 и s5), совершённых телом соответственно за промежутки времени t1, t2 = 2t1, t3 = 3t1, t4 = 4t1 и t5 = 5t1.

Закономерности равноускоренного движения

Из этого рисунка видно, что

ОА : ОВ : ОС : OD : ОЕ = 1 : 4 : 9 : 16 : 25,                     (1)

т. е. при увеличении промежутков времени, отсчитываемых от начала движения, в целое число раз по сравнению с t1 модули соответствующих векторов перемещений возрастают как ряд квадратов последовательных натуральных чисел.

Из рисунка 15 видна ещё одна закономерность:

ОА : АВ : ВС : CD : DE = 1 : 3 : 5 : 7 : 9,                     (2)

т. е. модули векторов перемещений, совершаемых телом за последовательные равные промежутки времени (каждый из которых равен t1), относятся как ряд последовательных нечётных чисел.

Движение улитки можно считать равноускоренным

Закономерности (1) и (2) присущи только равноускоренному движению. Поэтому ими можно пользоваться, если необходимо определить, является движение равноускоренным или нет.

Определим, например, было ли равноускоренным движение улитки, которая за первые 20 с движения переместилась на 0,5 см, за вторые 20 с — на 1,5 см, за третьи 20 с — на 2,5 см.

Для этого найдём, во сколько раз перемещения, совершённые за второй и третий промежутки времени, больше, чем за первый:

было ли равноускоренным движение улитки

Значит, 0,5 см : 1,5 см : 2,5 см = 1 : 3 : 5. Поскольку эти отношения представляют собой ряд последовательных нечётных чисел, то движение тела было равноускоренным.

В данном случае равноускоренный характер движения был выявлен на основании закономерности (2).

Вопросы

1. По каким формулам рассчитываются проекция и модуль вектора перемещения тела при его равноускоренном движении из состояния покоя?
2. Во сколько раз увеличится модуль вектора перемещения тела при увеличении времени его движения из состояния покоя в n раз?
3. Запишите, как относятся друг к другу модули векторов перемещений тела, движущегося равноускоренно из состояния покоя, при увеличении времени его движения в целое число раз по сравнению с t1.
4. Запишите, как относятся друг к другу модули векторов перемещений, совершаемых телом за последовательные равные промежутки времени, если это тело движется равноускоренно из состояния покоя.
5. С какой целью можно использовать закономерности (1) и (2)?

Упражнение 8

1. Отходящий от станции поезд в течение первых 20 с движется прямолинейно и равноускоренно. Известно, что за третью секунду от начала движения поезд прошёл 2 м. Определите модуль вектора перемещения, совершённого поездом за первую секунду, и модуль вектора ускорения, с которым он двигался.

2*. Автомобиль, двигаясь равноускоренно из состояния покоя, за пятую секунду разгона проходит 6,3 м. Какую скорость развил автомобиль к концу пятой секунды от начала движения?

3*. Некоторое тело за первые 0,03 с движения без начальной скорости переместилось на 2 мм, за первые 0,06 с — на 8 мм, за первые 0,09 с — на 18 мм. На основании закономерности (1) докажите, что в течение всех 0,09 с тело двигалось равноускоренно.

 

 

???????@Mail.ru