Главная >> Физика. 9 класс. Пурышева

Глава 1. Законы механики

Взаимодействие тел. Масса и сила

Если повторить опыт, сжав пружину сильнее, то получим тот же результат: несмотря на то, что скорости тележек в результате взаимодействия изменятся сильнее, чем в первом случае, ненагруженная тележка опять доедет до преграды раньше, чем нагруженная. Таким образом, разные тела при взаимодействии приобретают разные ускорения; при изменении условий взаимодействия (в данном случае деформации пружины) отношение ускорений взаимодействующих тел не изменяется.

О теле, которое при взаимодействии изменило свою скорость на меньшее значение, говорят, что оно более инертно, чем тело, скорость которого изменилась на большее значение.

Инертность — свойство тела, состоящее в том, что для изменения скорости ему необходимо определённое время.

Из двух тел, скорость которых изменяется на одну и ту же величину, более инертно то, которому для этого требуется большее время. Например, в рассмотренном опыте за время взаимодействия нагруженная тележка изменила свою скорость на меньшее значение, т. е. приобрела меньшее ускорение, чем ненагруженная. Это значит, нагруженная тележка более инертна.

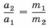
3. Инертность характеризуется физической величиной, называемой массой тела. Более инертное тело имеет большую массу, менее инертное тело имеет меньшую массу. Если массы взаимодействующих тел m1 и m2, то

Ускорения, приобретаемые телами при взаимодействии, обратно пропорциональны их массам.

Чтобы измерить массу m некоторого тела, нужно привести его во взаимодействие с телом известной массы (с эталоном массы) mэт и измерить ускорения, которые приобретут данное тело и эталон. Тогда

Этот способ измерения массы используется на практике при определении масс очень больших тел — космических объектов и очень маленьких тел — молекул, атомов и частиц, из которых они состоят.

Другим способом измерения массы тел является взвешивание, именно им и пользуются в повседневной жизни.

За единицу массы в СИ принимается масса эталона — цилиндра, изготовленного из сплава платины и иридия. Масса этого эталона принята за килограмм (1 кг). Массу 1 кг имеет 1 л чистой воды при температуре 15 °С.

Масса тела — величина аддитивная. Это означает, что масса тела складывается из масс отдельных его частей.

Масса тела не зависит от выбора системы отсчёта.

<<< К началу      Окончание >>>

 

 

???????@Mail.ru