Главная >> Физика. 9 класс. Пурышева

Глава 1. Законы механики

Третий закон Ньютона

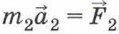
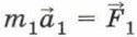
3. Эти выводы можно получить, выполнив математические преобразования. В § 12 опытным путём было установлено, что при взаимодействии двух тел отношение модулей их ускорений равно обратному отношению масс:

    отношение модулей

Поскольку ускорения, которые получают тела при взаимодействии, направлены в противоположные стороны, то можно записать

Но в соответствии со вторым законом Ньютона — сила, действующая на первое тело, а — сила, действующая на второе тело. Следовательно,

    третий закон Ньютона

Это равенство выражает третий закон Ньютона:

тела действуют друг на друга с силами, равными по модулю и направленными в противоположные стороны.

Эти силы направлены вдоль прямой, соединяющей взаимодействующие тела (материальные точки).

4. Третий закон Ньютона говорит о том, что силы всегда появляются парами. Эти силы часто называют силами действия и противодействия. При этом безразлично, какую из двух сил назвать силой действия, а какую — силой противодействия.

Следует отметить, что силы действия и противодействия приложены к разным телам и поэтому не компенсируют друг друга.

Так, в рассмотренном опыте (см. рис. 49) сила 1 приложена к магниту, а сила 2 — к бруску.

Силы, которые возникают при взаимодействии тел, являются силами одной природы. Например, если тело взаимодействует с Землёй, то Земля действует на него с силой тяготения и тело действует на Землю с силой тяготения. Лежащая на столе книга действует на стол с силой упругости, и стол действует на книгу также с силой упругости.

<<< К началу      Окончание >>>

 

 

???????@Mail.ru