Главная >> Физика. 9 класс. Пурышева

Глава 1. Законы механики

Движение искусственных спутников Земли

3. Вы могли наблюдать, что любое тело, брошенное горизонтально с некоторой высоты над поверхностью Земли, через некоторое время падает на Землю. Чем больше скорость, с которой тело бросают, тем дальше от точки бросания оно упадёт. Если постепенно увеличивать скорость бросания тела, то при некотором её значении тело не упадёт на Землю, а будет двигаться вокруг неё по окружности. Причиной этого является то, что брошенное тело притягивается к Земле и падает на неё. С другой стороны, Земля из-за того, что она имеет шарообразную форму, будет как бы удаляться от тела, уходить из-под него. В результате тело будет двигаться вокруг Земли на расстоянии h от её поверхности по окружности радиусом R3 + h (рис. 51).

    Рис. 51

4. Возникает вопрос: какую скорость следует сообщить телу в горизонтальном направлении для того, чтобы оно вращалось вокруг Земли , т. е. стало её искусственным спутником?

Скорость, которую нужно сообщить телу для того, чтобы оно стало искусственным спутником Земли, называют первой космической скоростью.

Выведем формулу для расчёта первой космической скорости.

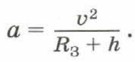
Тело движется по окружности с постоянной по модулю скоростью , поэтому его центростремительное ускорение равно:

    центростремительное ускорение

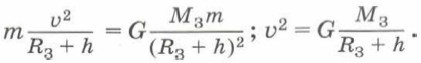
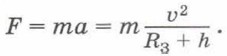
Это ускорение телу сообжает сила тяжести По второму закону Ньютона

Тогда

Откуда

Если спутник запускается вблизи поверхности Земли, то высота h (300—500 км) над поверхностью Земли много меньше радиуса Земли R3 = 6,4 • 106 м.

Следовательно,

Поскольку вблизи поверхности Земли ускорение свободного падения то

Подставив в эту формулу значения, получим:

    первая космическая скорость

Это и есть первая космическая скорость. Получив такую скорость в горизонтальном направлении на небольшой высоте над поверхностью Земли , тело становится её искусственным спутником.

<<< К началу      Окончание >>>

 

 

???????@Mail.ru