Главная >> Физика. 9 класс. Пурышева

Глава 1. Законы механики

Импульс тела. Закон сохранения импульса

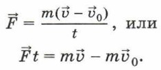
3. Выясним, как связаны импульс силы и импульс тела.

По второму закону Ньютона:

    импульс силы

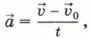
Подставив в эту формулу выражение для ускорения получим:

В левой части равенства стоит импульс силы, в правой части равенства — разность конечного и начального импульсов тела, т. е. изменение импульса тела.

Таким образом,

импульс силы равен изменению импульса тела:

    импульс силы

Это иная формулировка второго закона Ньютона. Именно так сформулировал его Ньютон.

4. Предположим, что сталкиваются два шарика, движущиеся по столу. Любые взаимодействующие тела, в данном случае шарики, образуют систему. Между телами системы действуют силы: сила действия 1 и сила противодействия 2. При этом сила действия 1 по третьему закону Ньютона равна силе противодействия 2 и направлена противоположно ей: 1 = -2.

Силы, с которыми тела системы взаимодействуют между собой, называют внутренними силами.

Помимо внутренних сил, на тела системы действуют внешние силы. Так, взаимодействующие шарики притягиваются к Земле, на них действует сила реакции опоры. Эти силы являются в данном случае внешними силами. Во время движения на шарики действуют сила сопротивления воздуха и сила трения. Они тоже являются внешними силами по отношению к системе, которая в данном случае состоит из двух шариков.

Внешними силами называют силы, которые действуют на тела системы со стороны других тел.

Будем рассматривать такую систему тел, на которую не действуют внешние силы.

Замкнутой системой называют систему тел, взаимодействующих между собой и не взаимодействующих с другими телами.

В замкнутой системе действуют только внутренние силы.

5. Рассмотрим взаимодействие двух тел, составляющих замкнутую систему. Масса первого тела m1, его скорость до взаимодействия 01, после взаимодействия 1. Масса второго тела m2, его скорость до взаимодействия 02, после взаимодействия 2.

Силы, с которыми взаимодействуют тела, по третьему закону Ньютона равны: 1 = -2. Время действия сил одно и то же, поэтому

Для каждого тела запишем второй закон Ньютона:

Поскольку левые части равенств равны, то равны и их правые части, т. е.

Преобразовав это равенство, получим:

В левой части равенства стоит сумма импульсов тел до взаимодействия, в правой — сумма импульсов тел после взаимодействия. Как видно из этого равенства, импульс каждого тела при взаимодействии изменился, а сумма импульсов осталась неизменной.

Геометрическая сумма импульсов тел, составляющих замкнутую систему, остаётся постоянной при любых взаимодействиях тел этой системы.

В этом состоит закон сохранения импульса.

<<< К началу      Окончание >>>

 

 

???????@Mail.ru