Главная >> Физика. 9 класс. Пурышева

Глава 1. Законы механики

§ 2. Равномерное прямолинейное движение

    Какое движение называют равномерным?

    Что называют скоростью равномерного движения?

    Как найти проекцию вектора на координатную ось?

1. Существуют различные виды механического движения. В зависимости от формы траектории движение может быть прямолинейным или криволинейным. При движении скорость тела может оставаться постоянной или с течением времени изменяться. В зависимости от характера изменения скорости движение будет равномерным или неравномерным.

Рассмотрим движение, происходящее с постоянной скоростью, траекторией которого является прямая линия, т. е. равномерное прямолинейное движение.

Равномерным прямолинейным называют движение, при котором тело за любые равные промежутки времени совершает одинаковые перемещения.

Слова за «любые равные промежутки времени» означают, что, какие бы равные промежутки времени (1с, 2 с, 5 мин, 10 мин и т. д.) мы ни выбрали, перемещение тела за эти равные промежутки времени будет одинаковым. Например, если автомобиль за каждые 2 мин проезжает 1800 м, за каждую 1 мин — 900 м, за каждую 1с — 15 м, то можно считать, что он движется равномерно.

Понятно, что практически невозможно создать такие условия, чтобы движение тела было равномерным в течение достаточно большого промежутка времени. Поэтому равномерное движение является моделью реального движения.

2. Если сравнивать равномерное движение нескольких тел, можно отметить, что быстрота изменения их положения в пространстве может быть различной. «Быстрота» движения характеризуется физической величиной, называемой скоростью.

Скоростью равномерного прямолинейного движения называют векторную физическую величину, равную отношению перемещения тела ко времени, за которое это перемещение произошло.

Если за время t тело совершило перемещение , то скорость его движения равна

    скорость

Единица скорости в СИ — метр в секунду (1 м/с). Эту единицу можно получить, разделив единицу перемещения на единицу времени:

    метр в секунду

За единицу скорости принимают скорость такого равномерного движения, при котором тело за 1с совершает перемещение 1 м.

Зная скорость равномерного движения, можно найти перемещение тела за любой промежуток времени:

    промежуток времени

Векторы скорости и перемещения при равномерном прямолинейном движении направлены в сторону движения тела.

3. Как мы уже сказали, основной задачей механики определение в любой момент времени положения тела, т. е. его координаты. Запишем уравнение зависимости координаты тела от времени при равномерном прямолинейном движении. Это уравнение называют уравнением движения.

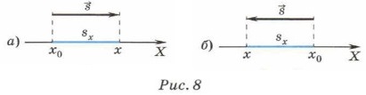
Пусть тело совершило перемещение . Направим координатную ось X по направлению перемещения тела (рис. 8, а). Запишем уравнение для проекции перемещения sx на ось X. На рисунке х0 — начальная координата тела, х — конечная координата тела. Проекция перемещения равна разности конечной и начальной координат тела:

    sx = х - х0.

    перемещения тела

С другой стороны, проекция перемещения на ось X равна произведению проекции скорости на эту ось и времени:

    sx = υxt.

Приравнивая правые части выражений, можно записать:

    х - х0 = υxt.

Отсюда координата тела х в любой момент времени t:

    x = х0 + υxt.

Если начальная координата тела х0 = 0, то х = υxt.

Таким образом, координату тела при равномерном прямолинейном движении в любой момент времени можно определить, если известны его начальная координата и проекция скорости движения на ось X.

Проекции скорости и перемещения могут быть как положительными, так и отрицательными. Проекция скорости положительна, если направление движения совпадает с направлением оси X (см. рис. 8, а). В этом случае х > х0. Проекция скорости отрицательна, если тело движется против направления оси X (рис. 8, б). В этом случае х < х0.

Продолжение >>>

 

 

???????@Mail.ru