Главная >> Физика. 9 класс. Пурышева

Глава 1. Законы механики

Механическая работа и мощность

4. Работу силы можно вычислить, используя график зависимости силы от перемещения.

Предположим, под действием постоянной силы тяжести тело совершает перемещение. Графиком зависимости модуля силы тяжести Fтяж от модуля перемещения тела s является прямая, параллельная оси абсцисс (рис. 67). Найдём площадь выделенного прямоугольника. Она равна произведению двух его сторон: S = Fтяжh = = mgh. С другой стороны, этой же величине равна работа силы тяжести А = mgh.

    Рис. 67

Таким образом, работа численно равна площади прямоугольника, ограниченного графиком, координатными осями и перпендикуляром, восставленным к оси абсцисс в точке h.

Рассмотрим теперь случай, когда сила, действующая на тело, прямо пропорциональна перемещению. Такой силой, как известно, является сила упругости. Её модуль равен Fynp = kx, где х — удлинение тела.

Предположим, пружину, левый конец которой закреплён, сжали (рис. 68, а). При этом её правый конец сместился на x1. В пружине возникла сила упругости Fynp1, направленная вправо.

    Рис. 68

Если теперь предоставить пружину самой себе, то её свободный конец переместится вправо (рис. 68, б), удлинение пружины будет равно х2, а сила упругости Fynp2.

Вычислим работу силы упругости при перемещении конца пружины из точки с координатой х1 в точку с координатой х2.

Используем для этого график зависимости Fynp(х) (рис. 69).

    Рис. 69

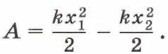
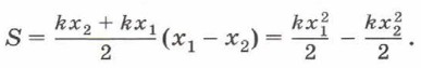
Работа силы упругости численно равна площади трапеции ABCD. Площадь трапеции равна произведению полусуммы основании и высоты, т. е. В трапеции ABCD основания АВ = Fynp2 = kx2, CD = Fynp1 = kx1, а высота AD = x1 — x2. Подставим в формулу площади трапеции эти величины:

    формулу площади трапеции

Таким образом, мы получили, что работа силы упругости равна:

    силы упругости

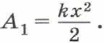
5*. Предположим, что тело массой т перемещается из точки А в точку В (рис. 70), двигаясь сначала без трения по наклонной плоскости из точки А в точку С, а затем без трения по горизонтальной плоскости из точки С в точку В. Работа силы тяжести на участке СВ равна нулю, поскольку сила тяжести перпендикулярна перемещению. При движении по наклонной плоскости работа силы тяжести равна: ААС = Fтяжlsin α.

    Рис. 70

Так как lsin α = h, то ААС = Fтяжh = mgh.

Работа силы тяжести при движении тела по траектории АСВ равна ААСВ = ААС + АСВ = mgh + 0.

Таким образом, ААСВ = mgh.

Работа силы тяжести при перемещении тела из точки А в точку В по траектории АВ равна: ААВ = mgh.

Полученный результат показывает, что работа силы тяжести не зависит от формы траектории. Она зависит только от начального и конечного положений тела.

Предположим теперь, что тело движется по замкнутой траектории АВСА (см. рис. 70). При перемещении тела из точки А в точку В по траектории АСВ работа силы тяжести равна ААСВ = mgh. При перемещении тела из точки В в точку А сила тяжести совершает отрицательную работу, которая равна АВА = -mgh. Тогда работа силы тяжести на замкнутой траектории А = ААСВ + АВА = 0.

Нулю равна и работа силы упругости на замкнутой траектории. Действительно, предположим, что недеформированную вначале пружину растянули и её длина увеличилась на х. Сила упругости при этом совершила работу При возвращении в состояние равновесия сила упругости совершает работу Суммарная работа силы упругости при растяжении пружины и её возвращении в недеформированное состояние равна нулю.

<<< К началу      Окончание >>>

 

 

???????@Mail.ru