Главная >> Физика. 9 класс. Пурышева

Глава 1. Законы механики

Работа и потенциальная энергия

Величина mgh1 = Eп1 представляет собой потенциальную энергию тела в начальном положении, mgh2 = Еп2 — потенциальная энергия тела в конечном положении. Формулу можно переписать следующим образом:

    А = Eп1 - Eп2 = -(Еп2 - Еп1).

При изменении положения тела изменяется его потенциальная энергия. Таким образом,

работа силы тяжести равна изменению потенциальной энергии тела, взятому с противоположным знаком.

Знак «минус» означает, что при падении тела сила тяжести совершает положительную работу, а потенциальная энергия тела уменьшается. Если тело движется вверх, то сила тяжести совершает отрицательную работу, а потенциальная энергия тела при этом увеличивается.

4. При определении потенциальной энергии тела необходимо указывать уровень, относительно которого она отсчитывается, называемый нулевым уровнем.

Так, потенциальная энергия мяча, пролетающего над волейбольной сеткой, относительно сетки имеет одно значение, а относительно пола спортзала — другое. При этом важно, что разность потенциальных энергий тела в двух точках не зависит от выбранного нулевого уровня. Это означает, что работа, совершённая за счёт потенциальной энергии тела, не зависит от выбора нулевого уровня.

Часто за нулевой уровень при определении потенциальной энергии принимают поверхность Земли. Если тело падает с некоторой высоты на поверхность Земли, то работа силы тяжести равна потенциальной энергии: А = mgh.

Следовательно, потенциальная энергия тела, поднятого на некоторую высоту над нулевым уровнем, равна работе силы тяжести при падении тела с этой высоты до нулевого уровня.

5. Потенциальной энергией обладает любое деформированное тело. При сжатии или растяжении тела оно деформируется, изменяются силы взаимодействия между его частицами и возникает сила упругости.

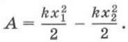
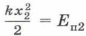
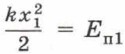
Пусть правый конец пружины (см. рис. 68) перемещается из точки с координатой х1 в точку с координатой х2. Напомним, что работа силы упругости при этом равна:

    силы упругости

Величина характеризует первое состояние деформированного тела и представляет собой его потенциальную энергию в первом состоянии, величина характеризует второе состояние деформированного тела и представляет собой его потенциальную энергию во втором состоянии. Можно записать:

    А = -(Eп2 - Еп1), т. е.

работа силы упругости равна изменению потенциальной энергии пружины, взятому с противоположным знаком.

Знак «минус» показывает, что в результате положительной работы, совершённой силой упругости, потенциальная энергия тела уменьшается. При сжатии или растяжении тела под действием внешней силы его потенциальная энергия увеличивается, а сила упругости совершает отрицательную работу.

<<< К началу      Окончание >>>

 

 

???????@Mail.ru