Главная >> Физика. 9 класс. Пурышева

Глава 1. Законы механики

§ 22. Работа и кинетическая энергия

    В каком случае можно говорить, что тело обладает кинетической энергией?

    От чего зависит кинетическая энергия тела?

1. Предположим, что снаряд, летящий с некоторой скоростью, попадает в доску, пробивает её насквозь и вылетает. Снаряд совершил работу против силы трения, следовательно, он обладал энергией вследствие своего движения.

Другой пример. Автомобиль, движущийся с выключенным двигателем, останавливается через некоторое время под действием силы трения. В начале торможения он тоже обладал энергией. Именно за счёт этой энергии автомобиль совершил работу против силы трения.

Энергию, которой обладает тело вследствие своего движения, называют кинетической энергией.

Выясним, от чего зависит кинетическая энергия.

2. Предположим, что на тело массой т действует некоторая сила. Тело при этом перемещается и приобретает ускорение. При перемещении тела сила совершает работу.

Будем считать, что сила и перемещение направлены в одну сторону вдоль одной прямой (рис. 75). Если координатная ось X направлена в ту же сторону, то проекции на эту ось силы, перемещения и ускорения движения равны их модулям.

    Рис. 75

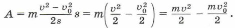
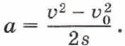
Сила F, действующая на тело, совершает работу А = Fs. Из второго закона Ньютона найдём силу: F = mа.

Ускорение, с которым движется тело, равно:

Подставив в формулу работы выражения для силы и перемещения, получим:

    формула работы

В левой части равенства стоит работа силы. В правой части равенства стоит разность величин, характеризующих состояние движущегося тела в некоторые моменты времени. Эти величины называют кинетической энергией тела в конечном и начальном положениях. Кинетическая энергия тела вычисляется по формуле:

    Кинетическая энергия тела

Следовательно, можно записать

    А = Ек2 - Eк1,

или

    А = ΔЕк.

Окончание >>>

 

 

???????@Mail.ru