Главная >> Физика. 9 класс. Пурышева

Глава 1. Законы механики

Закон сохранения механической энергии

Скорость тела в этой точке можно найти по формуле учитывая, что начальная скорость тела равна нулю. После подстановки выражения для скорости в формулу полной механической энергии получим Е = mgh.

Таким образом, мы получили, что в трёх рассмотренных точках траектории полная механическая энергия тела равна одному и тому же значению: Е = mgh. К такому же результату мы придём, рассмотрев другие точки траектории тела.

Полная механическая энергия замкнутой системы тел, в которой действуют только консервативные силы, остаётся неизменной при любых взаимодействиях тел системы.

Это утверждение является законом сохранения механической энергии.

3. В реальных системах действуют силы трения. Так, при свободном падении тела в рассмотренном примере (см. рис. 77) действует сила сопротивления воздуха, поэтому потенциальная энергия в точке А больше полной механической энергии в точке В ив точке С на значение работы, совершаемой силой сопротивления воздуха: ΔЕ = А. При этом энергия не исчезает, часть механической энергии превращается во внутреннюю энергию тела и воздуха.

4. Как вы уже знаете из курса физики 7 класса, для облегчения труда человека используют различные машины и механизмы, которые, обладая энергией, совершают механическую работу. К таким механизмам относят, например, рычаги, блоки, подъёмные краны и др. При совершении работы происходит преобразование энергии.

Любая машина характеризуется величиной, показывающей, какая часть передаваемой ей энергии используется полезно или какая часть совершённой (полной) работы является полезной. Эту величину называют коэффициентом полезного действия (КПД).

Коэффициентом полезного действия η называют величину, равную отношению полезной работы Ап к полной работе А.

Обычно КПД выражают в процентах.

    КПД

5. Пример решения задачи

1. Мяч брошен вертикально вверх со скоростью 10 м/с. На какой высоте потенциальная энергия мяча будет равна его кинетической энергии?

    Пример решения

За нулевой уровень потенциальной энергии выберем поверхность Земли. Тогда в первом положении полная механическая энергия мяча равна его кинетической энергии:

Во втором положении на высоте h полная механическая энергия мяча

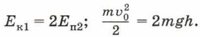
    Е = Ек2 + Еп2.

Поскольку по условию задачи Ек2 = Еп2, то можно записать:

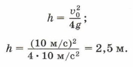
Отсюда

Ответ: h = 2,5 м.

<<< К началу      Окончание >>>

 

 

???????@Mail.ru