Главная >> Физика. 9 класс. Пурышева

Глава 2. Механические колебания и волны

§ 24. Математический и пружинный маятники (окончание)

Пружинный маятник будет совершать свободные колебания относительно положения равновесия под действием переменной силы. Соответственно в процессе движения изменяются и скорость, и ускорение аналогично тому, как это происходит с математическим маятником.

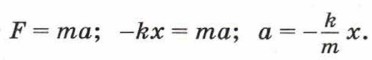
7. Получим уравнение колебаний для пружинного маятника. Записав согласно второму закону Ньютона уравнение в проекциях на ось X и подставив выражение для силы упругости, получим:

    силы упругости

Так же как и для математического маятника, мы получили, что колебания пружинного маятника происходят под действием силы, прямо пропорциональной смещению, и ускорение его колебаний также прямо пропорционально смещению и направлено в противоположную сторону.

Колебания, происходящие под действием силы, прямо пропорциональной смещению и паправлеппой в сторону, противоположную смещению, называют гармоническими.

Ускорение при гармонических колебаниях прямо пропорционально смещению и направлено в противоположную сторону.

    Вопросы для самопроверки

1. Какое движение называют колебательным?

2. Что представляет собой математический маятник? Объясните, как происходят колебания математического маятника.

3. Какие колебания называют свободными?

4. Что представляет собой пружинный маятник? Как происходят колебания пружинного маятника?

5. В каких точках (см. рис. 78) математический маятник имеет максимальные значения скорости и ускорения, а в каких — минимальные?

6. Какие колебания называют гармоническими?

    Задание 22

1. Проанализируйте процесс колебаний математического маятника (см. рис. 78) и заполните таблицу 6, отметив в ней максимальные и минимальные значения величин, характеризующих колебания.

    Таблица 6

2. Будет ли шарик совершать колебания, если он находится на дне сферической чаши (рис. 81, а); на её вершине (рис. 81, б)?

    Рис. 81

3*. От чего зависит амплитуда свободных колебаний математического маятника?

4. Проанализируйте процесс колебаний пружинного маятника (см. рис. 80) и заполните таблицу 7, отметив в ней максимальные и минимальные значения величин, характеризующих колебания.

    Таблица 7

5*. Начертите график зависимости проекции на ось X силы, возвращающей маятник в положение равновесия, от смещения и график зависимости проекции на ось X ускорения от смещения.

<<< К началу

 

 

???????@Mail.ru