Главная >> Физика. 9 класс. Пурышева

Глава 1. Законы механики

Свободное падение

3. Ускорение свободного падения обозначают буквой g. Как вам известно из курса физики 7 класса, ускорение свободного падения зависит от географической широты местности. На широте Москвы вблизи поверхности Земли оно равно 9,81 м/с2. При решении задач, если не требуется высокая точность результата, принимают g = 10 м/с2.

Ускорение свободного падения зависит от высоты тела над поверхностью Земли. Чем выше поднято тело, тем слабее оно притягивается к Земле и тем меньше ускорение свободного падения. Например, на высоте 10 км — максимальной высоте полёта пассажирских самолётов — ускорение свободного падения равно 9,78 м/с2. Для высот, на которых летают современные истребители, ускорение свободного падения ещё меньше. Так, на высоте 18 км оно равно 9,72 м/с2.

Ещё меньшее значение ускорение свободного падения имеет на высотах, где расположены орбиты искусственных спутников Земли и космических станций. Так, максимальная высота первого искусственного спутника Земли относительно уровня моря составляла 947 км. Ускорение свободного падения на этой высоте равно 7,41 м/с2.

4*. Свободное падение изучал итальянский учёный, один из основоположников классической механики, Галилео Галилей (1564—1642) в конце XVI в. Он ронял с Пизанской башни шары, масса которых существенно различалась. Вопреки существовавшему в то время мнению, тела достигали поверхности Земли почти одновременно. У Галилея не было точных приборов, для измерения времени он использовал песочные часы, поэтому значение ускорения свободного падения было измерено им с большой погрешностью. В частности, в своей работе «Диалог о двух главнейших системах мира — птолемеевой и коперниковой» Галилей утверждал, что тела падали с высоты 60 м в течение 5 с, и, исходя из этих данных, получил значение ускорения свободного падения почти в 2 раза меньше истинного.

Чтобы повысить точность эксперимента по изучению равноускоренного движения, и свободного падения в частности, Галилей исследовал скольжение шаров с наклонной плоскости. Он экспериментально установил пропорциональность пройденного шаром пути квадрату времени и закон отношения путей, проходимых им за последовательные равные промежутки времени.

5. Пример решения задачи

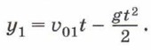
Два тела одновременно начинают двигаться: одно вертикально вверх со скоростью 20 м/с, другое вертикально вниз с высоты 60 м без начальной скорости. Определите время и координату места встречи тел.

    решения задачи

    Рис. 34

Для первого тела это уравнение имеет вид:

Учитывая, что у01 = 0, υ01y = υ01, gy = -g, получим

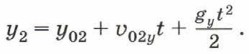
Уравнение движения второго тела:

    Уравнение движения

Поскольку у02 = h, υ02y = 0, gy = -g, то

<<< К началу      Окончание >>>

 

 

???????@Mail.ru