Главная >> Финансовый менеджмент: теория и практика. Ковалев. В.В.

Определение оптимального уровня денежных средств

Модель Баумоля

Один из наиболее ранних систематических подходов к управлению запасом денежных средств был предложен У. Баумолем (William J. Baumol, род. 1922) в 1952 г. Предполагается, что предприятие начинает работать, имея максимальный и целесообразный для него уровень денежных средств и затем постоянно расходует их в течение некоторого времени. Все поступающие средства от реализации товаров и услуг предприятие вкладывает в краткосрочные ценные бумаги. Как только запас денежных средств истощается, т. е. становится равным нулю или достигает некоторого заданного уровня безопасности, предприятие продает на рынке часть ценных бумаг, тем самым пополняя запас денежных средств до первоначальной величины. Таким образом, динамика средств на расчетном счете представляет собой пилообразный график (рис. 18.8).

Изменение остатка средств на расчетном счете (модель Баумоля)

Сумма пополнения вычисляется по формуле

Сумма пополнения вычисляется по формуле

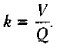
Таким образом, средний запас денежных средств составляет Q/2, а общее количество сделок по конвертации ценных бумаг в денежные средства (k) равно

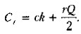
Общие расходы по реализации такой политики управления денежными средствами составят

Первое слагаемое представляет собой прямые расходы, второе — упущенную выгоду от хранения средств на расчетном счете, вместо того чтобы инвестировать их в ценные бумаги.

    Пример

    Предположим, что денежные расходы компании в течение года составляют 1,5 млн долл. Процентная ставка по госуларственным ценным бумагам равна 8%, а затраты, связанные с каждой их реализацией, составляют 25 долл.

    Средний размер денежных средств на расчетном счете составляет 15,3 тыс. долл. Общее количество сделок по трансформации ценных бумаг в денежные средства за год составит

    Таким образом, политика компании по управлению денежными средствами и их эквивалентами такова: как только средства на расчетном счете истощаются, компания продает часть своих ликвидных ценных бумаг приблизительно на сумму 30 тыс. долл. Такая операция выполняется примерно раз в неделю. Максимальный размер денежных средств на расчетном счете составит 30,6 тыс. долл., средний — 15,3 тыс, долл.

Если финансовый менеджер берет на вооружение модель (18.11), несложно сформулировать рекомендации по управлению целевым остатком денежных средств:

  • если единовременные расходы по взаимной конвертации денежных средств и ликвидных ценных бумаг велики, надо иметь относительно большой целевой остаток;
  • если расходы по хранению денежных средств, принимаемые в размере упущенной выгоды (неполученный процент по безрисковым финансовым активам) велики, надо поддерживать относительно небольшой целевой остаток.

 

 

???????@Mail.ru