Главная >> Финансовый менеджмент: теория и практика. Ковалев. В.В.

Оценка долевых ценных бумаг

Оценка акции с изменяющимся темпом прироста дивиденда

Акцией с неравномерно возрастающим дивидендом (Nonconstant Growth Stock) называется акция, в отношении которой нельзя сделать предположение о постоянстве роста дивидендов. Это самый общий случай; здесь оценку Vt можно делать лишь так называемым прямым счетом, а удобных универсальных формул нет.

Тем не менее рассмотрим две ситуации, которые считаются более или менее реалистичными.

Разбиение горизонта прогнозирования на несколько фаз постоянного роста. Заметим прежде всего следующее; из формулы (19,7) видно, что текущая цена обыкновенной акции очень чувствительна к параметру g. Даже незначительное его изменение может существенно повлиять на цену. Задание постоянного g на перспективу может представляться искусственным. Можно предусмотреть, что период прогнозирования поддается условному разбиению на несколько фаз, каждой из которых соответствует свой темп прироста дивиденда.

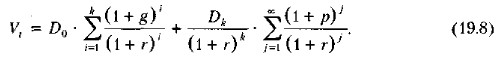
Для примера рассмотрим ситуацию, когда обособлено две фазы; в течение первых k периодов темн прироста равен g, а в последующие периоды — р (р ≠ g). В этом случае формула (19.1) принимает следующий вид:

(Предлагаем читателю самостоятельно, во-первых, обосновать приведенную формулу; во-вторых, представить эту ситуацию графически; в-третьих, упростить модель (19.8) с помощью стандартных формул сумм геометрической прогрессии, выразив V, как функцию от исходных параметров D0, g, p)

Сложность ситуации в выделении подпериодов, прогнозировании темпов прироста (как правило, в прогнозах темпы прироста в динамике снижаются) и значений ставки дисконтирования для каждого подпериода. При выделении нескольких подпериодов модель становится более громоздкой в представлении, однако вычислительные процедуры просты. Модель должна рассматриваться в динамике и постоянно уточняться по мере получения новой информации, в частности, но истечении очередного подпериода.

Разбиение горизонта прогнозирования на две фазы: бессистемного изменения дивиденда и равномерного его роста. Эта ситуация характерна для вновь появившейся фирмы и объясняется следующим образом. Первая фаза называется фазой роста, когда фирма развивает производство, пытается найти свою нишу на рынке, много инвестирует в развитие своей материальной базы и потому практически не выплачивает дивиденды. Вторая фаза называется фазой зрелости фирмы, когда она по основным параметрам уже сформировала свой имущественный потенциал, вышла на запланированный темп производства и может позволить себе предложить акционерам некоторый вариант дивидендной политики. Самый простой и реальный вариант — задание некоторого-стартового значения дивиденда и постоянного равномерного темпа его прироста.

Окончание >>>

 

 

???????@Mail.ru